(Prayer: This Election Petition is presented under Sections 80, 81, 100, 101 r/w Section 123 of the Representation of Peoples Act, 1951, by Sri. C. Muniraju Petitioner-Candidate alongwith his counsels Sri. Manjunatha Hiral, Mrs. Arpitha Ananthram H M, Ms. Anusha B. Reddy and Mr. Akshay Mithantaya (Advocates for petitioner) before the registrar (judicial) on 24.06.2023 (the proceedings of Registrar (Judicial) is at Page No.5 of the Petition), challenging the Election of Respondent Sri. S.N. Subbareddy and others, from 140-Bagepalli Assembly Constituency, 2023 to the Karnataka Legislative Assembly 2023 and the petitioner prays this Hon’ble Court to –
I) set aside the election of the Respondent No.1 to the 16th Karnataka Legislative Assembly From 140 – Bagepalli Assembly Constituency.
(ii) declare the petitioner as duly elected to fill the seat of Karnataka Legislative Assembly From 140-Bagepalli Assembly Constituency.)
CAV Order
1. Petitioner, who had unsuccessfully contested the election to the 16th Karnataka Legislative Assembly Elections held on 10.05.2023 from 140-Bagepalli Assembly Constituency as a candidate from Bharatiya Janata Party has filed the present petition challenging the election of Respondent No.1, who was declared elected in the said election as a candidate from Indian National Congress and is seeking following reliefs:
(i) To set-aside the election of the Respondent No.1 to the 16th Karnataka Legislative Assembly from 140-Bagepalli Assembly Constituency;
(ii) Declare the petitioner as duly elected to fill the seat of Karnataka Legislative Assembly from 140-Bagepalli Assembly Constituency;
(iii) Pass such other Order/s as this Hon'ble Court deems fit in the facts and circumstances of this case.
2. Brief facts of the case of the petitioner is as under:
2.1 That the Respondent No.1 in his Form 26 Affidavit filed along with his nomination papers on 20.04.2023 has not disclosed up-to-date details of all his assets and liabilities including that of his wife and dependant daughter. That he has 6 suppressed material information regarding various business entities registered in his name and in the name of his wife. That he has not disclosed details of all the properties owned by him and his wife and dependant daughter. That he has claimed to be the owner of the property which does not belong to him. That he has not disclosed the true value of the properties. That he has defaulted on several dues payable to the Statutory Authorities.
2.2 That non-disclosure of the assets and liabilities of the Respondent No1, his wife and the dependant daughter has resulted in interference with the free exercise of electoral right and thereby Respondent No.1 has committed corrupt practice as contemplated under Section 123(2) of the Representation of People Act, 1951 (hereinafter referred to as `R.P. Act', 1951 for brevity).
2.3 That in view of non-disclosure and false information in Form 26 Affidavit at Serial Nos. 4, 7 and 8, the Returning Officer ought not to have accepted the nomination filed by the Respondent No.1.
2.4 That in view of suppression of the facts, election of Respondent No.1 has materially affected the petitioner, as such he is entitled to be declared as the returned candidate under Section 101 of the R.P. Act, 1951.
2.5 At paragraph 16 of the petition, petitioner has enumerated the details of non-disclosure of assets and liabilities and the details of false information by Respondent No.1 in Form 26 Affidavit which are as under:
I. Non-disclosure of up-to- date account balance in respect of savings accounts of himself, his wife and daughter;
II. Non-disclosure of businesses and corresponding current account balance relating to Respondent No.1;
III. Non-disclosure of businesses and corresponding current account balance relating to Respondent No.1's Wife;
IV. Non-Disclosure of Loans advanced by the Respondent No.1;
V. False information in relation to agriculture properties at Sl. No. 7(B) (i) of Form 26 Affidavit with respect to lands owned by the Respondent No.1 and his daughter;
VI. Non-Disclosure in relation to agriculture properties at Sl. No. 7(B) (i) of Form 26 Affidavit relating to Respondent No.1's Wife:
VII. Non-Disclosure of Non-Agriculture Properties at Sl. No. 7(B) (ii) of Form 26 Affidavit relating to Respondent No.1;
VIII. False Information in relation to valuation of Properties at Sl. No.7 of Form 26 Affidavit;
IX. Non-Disclosure of GST dues at Sl. No.8 of Form 26 Affidavit;
X. Non-Disclosure in relation to late fee due and payable by the Respondent No.1 under Section 47 of CGST Act;
XI. Non-Disclosure of Assets in relation to Bhagini Hospitalities Private Limited wherein the Respondent No.1 and his wife are the Directors:
XII. False Declaration of Income Tax Return at Sl.No.4 of Form 26 Affidavit in relation to Respondent No.1 and his wife;
XIII. Non-Disclosure of Offshore Assets of Respondent No.1;
XIV. Respondent No.1 has indulged in Corrupt Practice as defined under Section 123 (1) of the RP Act;
XV. Non-Disclosure of Statutory Dues at Sl. No. 8 in respect of properties declared at Sl.No.7 of Form 26 Affidavit;
2.6 At paragraphs 17 to 82 of the petition, petitioner has provided details of each of the non-disclosure/ false information enlisted above. The same are dealt with in this order while adverting to issues framed.
2.7 At paragraph 83 petitioner has contended that in view of non-disclosure and false information, the Returning Officer ought not to have accepted the nomination.
2.8 At paragraph 84 it is contended that if the fact of non- disclosure and false information was made known to the voters/electors they would have definitely rejected the candidature of the Respondent No.1. The same has materially affected the election of Respondent No.1. As such, petitioner is entitled to be declared as returned candidate under Section 101 of the R.P. Act, 1951. Contending as above, petitioner has sought for allowing of the petition.
WRITTEN STATEMENT:
3. In his written statement Respondent No.1 while denying the petition averments and allegations, referring to Section 83 of the R.P. Act, 1951, contended that the election petition shall contain concise statement of material facts and particulars. That the petition does not set forth full particulars of all the alleged action and omissions said to have been committed by the elected candidate.
3.1 That an election can be set aside only on the grounds provided under Section 100 of the R.P. Act, 1951. Corrupt practice is one such ground provided under the said provision and the same is provided under Section 123 of the R.P. Act, 1951. The facts pleaded and particulars stated in the election petition do not constitute "corrupt practice" under Section 123 of the R.P. Act, 1951.
3.2 That the Respondent No.1 has not committed any corrupt practice. That he has disclosed all the assets and liabilities as required in Form 26 Affidavit at the time of filing of the nomination. That he has neither suppressed any information nor furnished any false information in Form 26 Affidavit.
3.3 That there is no requirement of disclosure of assets and liabilities in Form 26 affidavit under Section 33 and 33A of the R.P. Act, 1951. That the requirement of disclosure is traceable to the direction issued by the Election Commission of India and the judgment of the Apex Court affirming such direction. Non- disclosure or faulty compliance of this requirement is not a ground for setting aside an election under Section 100 of the R.P. Act, 1951.
3.4 Adverting to paragraph 16 of the election petition, it is contended that though the petitioner has enumerated totally 15 items in relation to alleged non-disclosure or false information in Form 26 Affidavit of the Respondent No.1, petitioner has not furnished the complete details and the material for any of the alleged non-disclosure.
3.5 As regards allegation of non-disclosure of up-to-date account balance in respect of Savings Account of Respondent No.1, his wife and dependant daughter, it is contended that immediately after release of Press Note by his political party on 25.03.2023 selecting candidates for 124 constituencies including the present constituency, Respondent No.1 started preparing the Form 26 Affidavit giving the details of the bank accounts of himself and his wife and daughter upto 31.03.2023. Though, the same was filed on 20.04.2023, there was no suppression of any details in that regard.
3.6 As regards the allegations of non-disclosure of business and corresponding current account balance relating to Respondent No.1 as well as his wife, it is contended that though Form 26 Affidavit does not require disclosure of current account details, however, the total amount in account is disclosed. These being the business accounts of proprietary concern of the Respondent No.1, the total amount put together is shown in the Form 26 affidavit.
3.7 As regards the allegation of non-disclosure of the loan advanced by Respondent No.1 to Smt.Suma Ranganath and Sri.Y.A.Narayanaswamy it is contended that the Respondent No.1 had given a personal loan to Smt.Suma Ranganath on 06.03.2020. Since the same is treated as a bad debt since barred by time, it has not been disclosed.
3.8 That the entire loan amount which was advanced to said Y.A.Narayanaswamy has been repaid. After that no monetary transactions have taken place between Respondent No.1 and Y.A. Narayanswamy and the loan account is closed. Therefore, there is no mention about such details.
3.9 As regards the allegation of false information in relation to agricultural properties at Sl.No.(7)B(i) in Form 26 Affidavit with respect to lands owned by Respondent No.1 and his daughter, it is contended that though inadvertently Sy.No.21 is not mentioned, Respondent No.1 has purchased two items i.e. Sy.No.19 measuring 2 acres 32 and 22 and 1/2 guntas, Sy.No.21 measuring 2 acres 22 and 1/2 guntas, under the deed of sale dated 09.03.2006 registered on 10.03.2006 for a total sale consideration of Rs.10,00,000/-. That total value of both the items of the property was Rs.11,00,970/- and the same is shown in the Form 26 Affidavit of Respondent No.1. There is no deliberate intention for Respondent No.1 in not disclosing the details of Sy.No.21 of Basabathanahalli Village, Hosakote Taluk, Bangalore District.
3.10 Regarding the allegation pertaining to non mentioning of survey numbers at Sl.No.(7)B(i)(d), it is stated that Respondent No.1 by oversight has mentioned Sy.No.15 instead of Sy.No.5 to which he is the owner. That it was only a typographical error and Respondent No.1 has not done the same deliberately. That land in Sy.No.5 of the Basabathanahalli Village, Hosakote Taluk, is measuring 38 guntas and 1 gunta of kharab land. Whereas, land in Sy.No.15 is measuring around 3 acres 15 guntas and the Respondent No.1 is not the owner of the same, which is evident from the RTC produced by the petitioner himself. That total extent of land in Sy.Nos. 13, 16, 20, 19, 17, 18 and 5 is 19 acres 11 and a half guntas which is the actual extent declared by Respondent No.1 in Form 26 Affidavit. Though inadvertently instead of Sy.No.5, Sy.No.15 is mentioned the total extent shown by the Respondent No.1 tallies with the extent owned by him.
3.11 Adverting to allegation with respect to land bearing Sy.No.9/1 measuring 1 acre 37 guntas situated at Chinnakayalapalli Village, Bagepalli Taluk, Chikkaballapur District, it is contended that said Srinivas Reddy is the brother of Respondent No.1, as there are certain inter se disputes between Respondent No.1 and his brother with regard to sharing of the properties, the same is shown in the affidavit as the property of Respondent No.1.
3.12 As regards the allegation of non-disclosure of land in Sy.Nos.173, 174, 138/2, 158/2, 172 and 157 of Kothakote Village, it is contended that the land has been recently converted from agricultural to non-agricultural purposes. Respondent No.1 has by oversight shown the above said lands as agricultural lands. That since no non-agricultural activities have taken place, the said land is shown as agricultural land. There is no suppression of any information.
3.13 As regards the allegation of non-disclosure of acquisition of property relating to the wife of the Respondent No.1, it is contended that his wife under two deeds of sale, both dated 09.11.2011 has purchased an extent of 1 acre 8 guntas and 1 15 acre 27 guntas of land in Sy.No.12 of Basabathanahalli Village, Hosakote Taluk, Bengaluru Rural District. That apart from the said 2 acres 35 guntas of and no other extent is owned by her.
3.14 As regards allegation of non-disclosure of non-agricultural properties at Sl.No.(7)B(ii) of Form 26 Affidavit relating to Respondent No.1, it is contended that there is a dispute between the Respondent No.1 and his brother Srinivas Reddy with respect to Sy.No.138/1 which was a self-acquired property of the deceased father of Respondent No.1. Hence the same is not disclosed in Form 26 Affidavit.
3.15 As regards the allegation of Respondent No.1 declaring he owning 8 acres of land in Sy.No.32/1 and not declaring other extent of 8 acres of land owned by him in Sy.No.32/9 of Chokkanahalli, it is contended that Respondent No.1 has purchased only 8 acres of land in Sy.No.32/1 of Chokkanahalli Village, Yelahanka under deed of sale dated 15.01.2009. Apart from the above 8 acres in Sy.No.32/1, no other extent is owned by Respondent No.1. He is not the owner of land in Sy.No.32/9.
3.16 As regards the allegation of Respondent No.1 furnishing false information in relation to valuation of properties in Sl.No.7 of Form 26 Affidavit, it is contended that Respondent No.1 has furnished the correct valuation of the properties and has not undervalued any properties.
3.17 As regards the allegation of non-disclosure of GST dues at Sl.No.8 of Form 26 Affidavit it is contended that the payment and penalty or late fee arises only when there is a demand from the statutory authorities and as there was no demand or notice from the competent authorities, the same would not be disclosed in Form 26 Affidavit.
3.18 As regards the allegation of non-disclosure of the assets in relation to Bhagini Hospital's Pvt. Ltd., of which Respondent No.1 and his wife who are the directors, it is contended that Bhagini Hospital Pvt. Ltd. is a company, details of which are not required to be disclosed in Form 26 Affidavit. What is required under law to be disclosed with regard to a private limited company has been disclosed in Form 26 Affidavit. Hence there is no suppression or non-disclosure of the assets and liabilities.
3.19 As regards the allegation pertaining to false declaration of income tax returns at Sl.No.4 in Form 26 Affidavit, it is contended that Respondent No.1 has furnished all the details and there are no false declaration in respect of income tax returns at Sl.No.4. It is the responsibility of the company to file its financials and annual returns and the same is not required to be disclosed by the Respondent No.1 in Form No. 26 affidavit. Hence the allegations are denied.
3.20 As regards the allegation of non-disclosure of offshore assets of Respondent No.1, it is contended that neither does the Respondent No.1 own any assets in the foreign country nor does he hold any deposits in the foreign banks.
3.21 As regards the allegation on the Respondent No.1 indulging in the corrupt practice as defined in Section 123(1) of the R.P. Act, 1951, it is contended that based on a false complaint, FIR came to be registered. After thorough investigation into the complaint, the jurisdictional police have submitted their final report/`B' report to the effect that Respondent No.1 has not offered any illegal gratification or attempted to induce any electors to vote in his favour. The `B' report was submitted to the Civil Judge at JMFC, Bagepalli which was accepted by the Court on 07.10.2023. Perusal of the report discloses that a false complaint was lodged and the same did not disclose any cause of action much less the corrupt practice contemplated under Section 123(1) of the R.P. Act, 1951.
3.22 As regards the allegation of non-disclosure of the statutory dues at Sl.No.8 in respect to properties declared at Sl.No.7 of the Form 26 Affidavit, it is contended that as there was no demand notice from the authority there was no need to disclose the same in the Form 26 Affidavit.
3.23 As regards averment in paragraph 83 of the petition, it is contended that petitioner has not averred the material facts and has also not produced the material particulars as to how the Respondent No.1 has interfered with the free exercise of the electoral right and how it has materially affected the election in question.
3.24 As regards allegation regarding improper acceptance of nomination, it is contended that the Returning Officer has rightly accepted the nomination of Respondent No.1 after scrutiny and after ascertaining that the Respondent No.1 has furnished all the details as required under law.
3.25 It is further contended the Respondent No.1 has won the present election with a margin of 19,179 votes. That the total votes secured by Respondent No.1 is 82,128 and total votes secured by the petitioner is 62,949. When the Respondent No.1 has secured margin of 19,179 votes petitioner nowhere in the petition has averred as to how the alleged suppression would have materially affected the result of the election and how he would have got such a majority votes because of alleged non- disclosure. When such material facts are lacking in the petition the same is liable to be dismissed.
ISSUES:
4. Based on the pleadings, this Court has framed the following issues:
"(1) Whether the petitioner proves that the Respondent No.1 has given a false declaration and has failed to disclose the assets and liabilities in his Form 26 Affidavit as alleged in paragraphs 16 to 80 of the election petition?
(2) Whether the petitioner proves that the false declaration and non-disclosure of the assets and liabilities by the Respondent in Form 26 affidavit as alleged in the election petition amounts to corrupt practice as contemplated under subsection (1) and subsection (2) of Section 123 of the Representation of Peoples Act, 1951, materially affecting the result of election?
(3) Whether Respondent No.1 proves that he has substantially complied with the requirement of disclosure of assets and liabilities in his Form 26 Affidavit and that false declaration and non-disclosure of the assets and liabilities as alleged by the petitioner is not a ground for setting aside the election under Representation of Peoples Act, 1951?
(4) Whether the petitioner has made out a case for grant of reliefs as sought for?
(5) What order?"
ADDITIONAL ISSUE:
"Whether the acceptance of nomination papers of Respondent No.1 by the Returning Officer is improper?"
5. Petitioner has examined himself as PW1 and has also examined another witness, Smt.Lakshmi Devi-Joint Commissioner of BBMP as PW.2. Petitioner has produced 48 documents marked as Ex.P1 to Ex.P48. During cross- examination of PW1 seven documents have been confronted and marked as Ex.R1 to Ex.R7. Through, PW2 documents at Ex.P49 to Ex.P121 have been marked. Respondent No.1 has examined himself as RW1 and has exhibited 14 documents marked as R1 to R14.
FINDINGS ON THE ISSUES:
Issue No.1 - Partly affirmative
Issue No.2 - Partly affirmative
Issue No.3 - Partly affirmative
Issue No.4 - Partly affirmative
Additional Issue: In the negative
SUBMISSIONS:
6. Smt.Nalina Mayegowda, learned Senior counsel appearing for the petitioner taking this Court through the records and the depositions submitted that;
6.1 Admittedly Respondent No.1 has not disclosed the up- to-date account balance in Sl.No.(7)A(ii) of Form 26 Affidavit. That the Respondent No.1 was required to disclose account balance in the current accounts. That the Respondent No.1 was having business transactions in the names of five entities namely; (1) R and R Bar and Restaurant, (2) Bhagini Residency, (3) Srinivasa Wines, (4) Bhagini Palace, (5) Wholesale Liquor Proprietorship Concern. Similarly, wife of Respondent No.1 having business in the name and style of 'Mini Bar and Restaurant'. That neither the names of these business entities nor the current account status for the said business entities have been disclosed either under Clause (7)A(ii) or (7)A(iii) of the Form 26 Affidavit.
6.2 Referring to Master Circular dated 01.07.2009, issued by the Reserve Bank of India produced along with written synopsis as per Annexure-B, she submitted that the deposit account includes Savings Account, but does not exclude any other type of deposit account, such as Current Account. That the contention of the respondent No.1 with regard to announcement of candidature on 25.03.2023 so also the date of election i.e., 10.05.2023 is immaterial for the purpose of disclosure of the account balance. The objective is to provide up-to-date information vis-à-vis assets and liabilities. Even the cross-examination of RW.1 discloses that there is categorical admission of the current account balance not having been disclosed.
6.3 That at Sl.No.(7)B(i) of the Form 26 Affidavit, there are false information regarding agricultural properties which has been admitted by the Respondent No.1. The agricultural properties in question were converted way back in the year 2022, as such denoting them as agricultural property with a lesser valuation was deliberate.
6.4 That annual returns of aforesaid five business concerns in Form No.GSTR-9 was not filed for the year 2020-2021 onwards and GSTR-3B in relation to Srinivasa Wines was filed belatedly for two months as such late fee was due and the same was not disclosed. That Section 44 and 47 of the CGST Act stipulates that the GSTR-9 are to be filed for each of financial years within the due date prescribed. That the conduct of Respondent No.1 in filing the return subsequent to filing of the election petition and suppressing such information in pleading shows malafide intent.
6.5 That there are no pleading to the effect that due to COVID situation or for possible waiver of GST, returns were not filed. That intention is immaterial. That financial statements/annual returns for the period beyond 31.03.2020 were not filed as on the date of filing of the nomination. That the allegation made stands proved as the same has neither been denied nor rebutted. Similar is the situation with regard to income tax returns not having been filed which is neither denied nor rebutted.
6.6 That as per the details at Sl.No.(7)B(ii), Respondent No.1 and his wife own 6 non-agricultural properties, 8 commercial buildings, 2 residential properties. Respondent No.1 has not paid the property tax in respect of the said properties as evidenced by the documents produced through PW.2 as per Exs.P57 to 60, 67 to 72, 80 to 84, 94 to 96, 106 to 108, 118 to 120. However, a false declaration is made that there are no dues towards the property tax. That the contention of Respondent No.1 that since there was no demand, the same was declared as 'Nil' is incorrect in the light of provisions of Sections 2(41), 144(8) and 148 of Bruhat Bengaluru Mahanagara Palike Act, 2020 wherein it is an obligation of the land owner to pay the property tax as and when it becomes due. Absence of demand does not mean that the property tax was not due.
6.7 That though the property tax to the tune of Rs.1,09,04,478/- paid during August 2023 and Rs.24,30,447/- 25 was paid on 24.07.202, in the Written Statement to this petition which was filed on 05.12.2023, there is no whisper of property tax being due or paid subsequent to the election. That in the cross-examination at paragraphs 49 and 50 Respondent No.1 has attempted to mislead. In the background of pleading, documents, evidence and the cross-examination, the ground urged by respondent No.1 of COVID-19 and the purported oversight for payment of property tax cannot be accepted.
6.8 That admittedly, there are series of errors in non-disclosure and false information by the Respondent No.1, which cannot be accepted being mere technical or due to oversight. That Respondent No.1, who has not disclosed his account balance, properties held by him and his dependents, who has neither filed financial returns nor has paid the property tax and has sworn to affidavit, is clearly guilty of corrupt practice.
6.9 That non-disclosure of assets and source and income would amount to 'undue influence' a corrupt practice under Section 123(2) of R.P. Act, 1951. That even if one vote was secured by returning candidate by indulging in corrupt practice, it is sufficient to hold the election of the said returned candidate as void. That single corrupt practice committed by the returned candidate is sufficient to set aside the election.
6.10 Relying upon the provisions of Section 101(b) of R.P. Act, 1951, she submitted that since the Respondent No.1 is guilty of corrupt practice, petitioner in addition to being entitled for relief of declaration of election of Respondent No.1 to be void, he is also entitled to be declared himself duly elected.
6.11 Following judgments are relied upon by the counsel for the petitioner in justification of the aforesaid contentions:
1. RUKMINI MADEGOWDA Vs. KARNATAKA STATE ELECTION COMMISSION reported in (2022) 18 SCC 1.
2. UNION OF INDIA Vs. ASSOCIATION FOR DEMOCRATIC REFORMS AND OTHERS reported in (2002)5 SCC 294
3. LOK PRAHARI Vs. UNION OF INDIA reported in (2018) 4 SCC 699.
4. PEOPLE'S UNION FOR CIVIL LIBERTIES (PUCL) Vs. UNION OF INDIA, reported in (2003) 4 SCC 399.
5. AJMERA SHYAM Vs. KOVA LAXMI AND OTHERS, reported in 2025 SCC ONLINE SC 1723.
6. KARIKHO KRI. Vs. NUNEY TAYANG AND OTHERS, reported in 2024 SCC ONLINE SC 519.
7. KISAN SHANKAR KATHORE Vs. ARUN DATTATRAY SAWANT AND OTHERS reported in (2014) 14 SCC 162.
8. VISHWANATHA REDDY Vs. KONAPPA RUDRAPPA NADGOUDA AND OTHERS reported in 1968 SCC ONLINE SC 20.
9. SYEDA NOOR FATIMA ZAIDI Vs. HEENA UROOZ AND OTHERS reported in 2024 SCC ONLINE SC 4104.
10. RAHIM KHAN Vs. KHURSHID AHMED AND OTHERS reported in (1974) 2 SCC 660.
7. Sri.Jayakumar S. Patil, learned Senior Counsel appearing for the Respondent No.1, taking this Court extensively through the records and the provisions of the R.P. Act, 1951, submitted that;
7.1 The allegations of "corrupt practice" as defined under Section 123 of the R.P. Act, 1951 must be pleaded with precision and the evidence in that regard shall be beyond reasonable doubt. Element of mens rea should be pleaded and proved so as to constitute a corrupt practice. That the petitioner except contending that Respondent No.1 has committed corrupt practice, undue influence there is no pleading or evidence as required under law.
7.2 Referring to Sections 123, 125A and Section 79 of R.P. Act, 1951, definition of "electoral right", learned Senior Counsel submitted that from the provisions it is clear that in order to allege corrupt practice of undue influence, petitioner has to plead and prove as to how the returned candidate has directly or indirectly interfered with electoral rolls with an intent to get elected.
7.3 Referring to the judgment of the Apex Court in the case of KRISHNAMOORTHY Vs. SHIVAKUMAR reported in (2015) 3 SCC 467, more particularly at paragraph No.58, it is submitted that what is required to be considered is whether the returned candidate has done any act which is intended to interfere with the free exercise of the electoral rights with an intent to get elected in an election and that will be the true and effective test to decide whether the candidate is guilty of the undue influence or not.
7.4 That there should be a greater significance to the words "direct" and "indirect" "interference" or "attempt to interfere" as free exercise of electoral rights has a nexus with the direct or indirect interference or attempt to interfere. That the petitioner is required to prove the intentional suppression or mens rea to allege corrupt practice of undue influence which is not present in the instant case.
7.5 The petitioner has not pleaded as to how the Respondent No.1 has interfered with the electoral right that is to vote or refrain from voting at an election by any electoral.
7.6 As regards acceptance of nomination, it is contended that in terms of Section 36 of the R.P. Act, 1951, which deals with scrutiny of nomination, all that requires to be looked into while scrutiny of nomination is whether there was any defect which is substantial in nature and whether the nomination is in consonance with Section 33 and Section 33(A) of the R.P. Act, 1951. That once the nomination is filed and the same is in all aspects is in accordance with Section 33 and Section 33A of the R.P. Act, 1951, same cannot be termed as an improper acceptance of nomination. The Returning Officer cannot reject any nomination on the ground of defect which is not substantial in character. That examination of acceptance of nominations, even before the Election Tribunal should be strictly confined to the parameters prescribed under Section 36(4) of the R.P. Act, 1951. If at all if there are any alleged defects in the nomination paper, the same can be examined with reference to Section 100(1)(d)(iv) of R.P. Act, 1951, which deals with non- compliance of the provisions of the Constitution or the Act or the Rules or Order.
7.7 Referring to paragraph 9.10.2 of the Judgment of the Apex Court in the case of Ajmera Shyam (supra) it is contended that the acceptance of nomination of the Respondent No.1 was proper and admittedly there was no objection either by the petitioner or by any other candidate at the stage of scrutiny pointing out any defect in the nomination paper of the Respondent No.1. That unless defects which are substantial in character are found, the Returning Officer is bound to accept the nomination and the same cannot be construed as improper acceptance.
7.8 That even assuming that there are alleged deficiencies which are not substantial in character, the same do not fall under the category of improper acceptance of the nomination under Section 100(1)(d)(i) of the R.P. Act, 1951. On the other hand it falls under the category of non compliance with statutory provisions of Section 100(1)(d)(iv) of R.P. Act, 1951.
7.9 In response to reliance placed by the learned Senior counsel for the petitioner on to the judgment of the Apex Court in the Lok Prahari's case wherein it has been held that the non-disclosure of the assets and liabilities amounts to corrupt practice of undue influence, on the premise that the logic adopted in Krishnamoorthy's judgment is applicable even in respect of non-disclosure of the assets and liabilities, he submitted that the same is without reference to the facts and the context of Krishnamoorthy's case. It is contended that in the case of Krishnamoorthy, the Apex Court has carefully formulated the principles and category of the cases to which the corrupt practice of undue influence would apply. Referring to paragraph 94 of the said judgment, it is contended that the Apex Court has categorically held that the question of undue influence would arise only if returned candidate has not disclosed criminal antecedent especially pertaining to heinous or serious offences or the offences relating to corruption or moral turpitude and not in other cases.
7.10 That the Apex Court in the case of Ajmera shyam (supra) as well as in the case of Karikho kri (supra) has held that when there is a substantial compliance and defect are inconsequential in nature, election cannot be set aside. That the Apex Court has further clarified the legal position with regard to requirement of disclosure of criminal antecedent and disclosure of assets and liabilities. That the Apex Court has also laid down the legal principles in the said judgment.
7.11 That in the light of the parameters set down by the Apex Court in the aforesaid decisions, the Respondent No. 1 has disclosed his assets and liabilities substantially and there is no false declaration, suppression or non-disclosure. That the Respondent No.1 has declared his income worth several ₹100 crores. The alleged non-disclosure is of a negligible amount. The same cannot be considered as a factor which would have directly or indirectly caused effect or interference in the election of the Respondent No.1. Electorate have reposed confidence and faith in Respondent No.1 and have elected him for the third time with a margin of 19,179 votes considering his good work and reputation. There has been no allegations of malpractice, corrupt practice or providing false information in entire political career of Respondent No. 1.
7.12 As regards, the relief of declaration sought for by the petitioner to declare himself as duly elected, he submitted that there is no material pleading/averments in the election petition as to the number of votes which have been casted in favour of Respondent No.1, that would have gone in favour of the petitioner. That in the absence of any such pleadings and proof, petitioner is not entitled for such a relief. In any event, such a relief cannot be granted when there are more than two candidates for one seat.
7.13 Relied upon the following judgments in support of his submissions:
1. VISHWANATH REDDY Vs. KONAPPA RUDRAPPA NADAGOWDA reported in 1968 SCC Online SC 20
2. VATAL NAGARAJ Vs. R. DAYANAND SAGAR reported in (1975) 4 SCC 127
3. THIRU JOHN Vs. THE RETURNING OFFICER AND OTHERS reported in (1977) 3 SCC 540
4. D.K.SHARMA Vs. RAM SHARAN YADAV AND OTHERS reported in 1993 Supp (2) 117
5. PRAKASH KHANDRE Vs. DR. VIJAY KUMAR KHANDRE AND OTHERS reported in (2002) 5 SCC 568
6. MUNIRAJU GOWDA P.M. Vs. MUNIRATHNA AND OTHERS reported in (2020) 10 SCC 192 34
Hence, sought for dismissal of the petition.
Regarding Issue Nos.1 and 3:
8. These two issues are taken up for analogous consideration as they are interconnected.
8.1 Non-disclosure of up-to-date account balance by the Respondent No.1 in respect of savings account of himself, his wife and daughter as on the date of filing of Form 26 Affidavit on 20.04.2023:
8.1.1 Allegation: That in the Form 26 Affidavit-Ex.P4, Respondent No.1 has disclosed Savings Bank account balance of himself, his wife and daughter only till 31.03.2023 though Form 26 Affidavit was filed on 20.04.2023. There is no disclosure of savings account balance for the period of 20 days.
8.1.2 Response: According to the Respondent No.1, the elections were notified on 29.03.2023. His name was announced by his political party on 25.03.2023. Soon thereafter he had started preparation of Form 26 Affidavit which events fell during the end of financial year 2022-2023 ending on 31.03.2023. Therefore, he has furnished details only upto 31.03.2023.
8.1.3 Evidence: Sl.No.(7)A(ii) of Form 26 Affidavit- Ex.P4 contains Savings Bank account details of Respondent No.1 and his wife only upto 31.03.2023. The explanation given by the Respondent No.1 in written statement has not been rebutted. Even during cross-examination nothing is elicited in this regard.
8.1.4 Discussion/Analysis: There is no dispute that neither in the R.P. Act, 1951 nor Rules nor even in the Form 26 Affidavit, is there any mention or explanation with regard to what is "up- to-date"? Learned Senior Counsel appearing for the petitioner referring to Section 79(b) of the R.P. Act, 1951, with regard to definition of "Candidate" and submitted that a person would be a candidate who has been duly nominated as such at any election. She also refers to Section 77 of the R.P. Act, 1951, to contend that once a person is declared as a candidate, he is required to either himself or by his election agent keep a separate and correct account of all expenditures in connection with the election incurred or authorized by him or his agent between the date on which he has been nominated and the date of declaration of the result. Therefore, she insists that the term "up-to-date" shall be construed as the date on which he 36 had been nominated for election. As such, the Respondent No.1 was required to give his account details till the date he was nominated. On the other hand learned Senior counsel appearing for Respondent No.1 contended that since a press note was issued by his political party selecting candidates for the election including the name of the Respondent No.1 on 25.03.2023 it is the said date which has to be taken into consideration. In any event, he submitted that since there is no specific provision in this regard either in the R.P. Act, 1951, or in the Rules, the allegation of violation in this regard is unfounded.
8.1.5 Conclusion: Admittedly, the Savings Bank accounts balance of Respondent No.1, his wife and daughter have been disclosed in Ex.P4 upto 31.03.2023. Petitioner has neither pleaded nor brought on record any material to show that there was any addition to the Savings Bank accounts balance of Respondent No.1 and his wife between 31.03.2023 and the date of filing of nomination on 20.04.2023 i.e., for a period of 20 days. As such, this Court do not see any substantiality in this allegation of non-disclosure of Saving Bank accounts balance. Petitioner has thus failed to prove this allegation. Respondent No.1 has proved substantial compliance in this regard.
8.2 Non-disclosure of business and corresponding current account balance account relating to Respondent No.1 and his wife:
8.2.1 Allegations: Under this head, it is alleged that the Respondent No.1 holds total of nine Goods and Service Tax Identification Numbers (GSTIN), out of which five GSTINs are shown to be ''active'' and remaining four to be shown ''inactive''. Five active GSTINs are relatable to; (1) R and R Bar and Restaurant, (2) Bhagini Residency, (3) Srinivasa Wines, (4) Bhagini Palace, (5) Wholesale Liquor Proprietorship Concern.
8.2.2 Similarly, it is alleged that wife of Respondent No.1 holds three GSTINs being associated with her PAN number. Two out of said three GSTINs are inactive and only one GSTIN is shown to be active. One GSTIN which is active and relatable to the wife of Respondent No.1 is "Mini Bar and Restaurant", Baiyappanahalli, M.S. Nagar, Bengaluru, which is shown to be active signifying that the wife of Respondent No.1 being proprietor of the said business.
8.2.3 That Respondent No.1 in his Form 26 affidavit at Sl.No.(7)A(ii) as well as Sl.No.(7)A(iii), has not only failed to disclose the corresponding account balance of current accounts through which business transactions are carried out by him and his wife relating to aforesaid proprietorship concerns but has completely suppressed their existence altogether.
8.2.4 That at Sl.No.(7)A(iii) he has merely disclosed he and his wife having interests in four entities namely; (1). Bhagini Hospitalities Pvt. Ltd., (2) Bhagini Enterprises (3) S.S. Enterprises and (4) Bhagini Group of Hotels (5) having share in Sreenidhi Souharda Sahakari Bank Niyamitha and (6) Bharath Co-operative Bank.
8.2.5 Further at Sl.No.(7)A(iii) of the Form 26 Affidavit it is mentioned that Respondent No.1 having working capital investments in Bhagini Group of Hotels to the tune of Rs.18,20,40,680/- excluding immovable assets and corresponding loan amount outstanding. However, particulars of immovable assets and corresponding loans in relation to Bhagini Group of Hotels are not disclosed.
8.2.6 Response: Respondent No.1 has contended that Sl.No.(7)A(ii) of Form 26 Affidavit merely requires disclosure of details with respect to deposit in bank accounts (FDRs, Term Deposits and all other types of deposit including Savings accounts), deposits with financial companies and Co-operative Societies and amount in each deposits. Similarly, Sl.No.(7)A(iii) requires details of investments in Bond, debentures/ shares and units in companies/mutual funds and others. That Sl.No.(7)A(ii) does not require disclosure of current account details. That though there is no such requirement of disclosing details of current account in Form 26 Affidavit, total amount held by him and his wife in the accounts is disclosed which is the amount held in the business accounts of the proprietary concerns as well.
8.2.7 Evidence: At Sl.No.(7)A(ii) of Form 26 Affidavit indicate that the Respondent No.1 has given the details only with regard to Saving Bank accounts of himself and his wife.
Savings bank accounts details of Respondent No.1 are as under:
| 1 | Axis Bank, Marathahalli, | Rs.54,30,822/- |
| 2 | HDFC Bank, Old Madras Road | Rs.3,21,977/- |
| 3 | Indian Overseas Bank, Koramangala | Rs.66,035/- |
| 4 | Srineedhi Souhardhya Sahakari Bank Niyamitha, Bommanahalli, | Rs.24,558/- |
| 5 | State Bank of India, Marathahalli | Rs.7,15,553/- |
| 6 | Karnataka Cooperative Apex Bank Ltd., | Rs.4,02,823/- |
| 7 | Corporation Bank, Bagepalli | Rs.47/- |
| 1 | Axis Bank, Marathahalli | Rs.62,752/- |
| 2 | HDFC Bank, Old Madras Road | Rs.1,04,472/- |
| 3 | Srineedhi Souhardhya Sahakari Bank Niyamitha, Bommanahalli, | Rs.40,33,927/- |
| 4 | Canara Bank | Rs.1,46,129/- |
8.2.9 Perusal of details of account particulars under Sl.No.(7)A(iii) of Form 26 Affidavit indicate that the Respondent No.1, has given the details as follows;
(i) Bhagini Hospitalities Pvt. Ltd., Equity Shares held by him and his wife i.e., valued at Rs.9,00,50,000/- and Rs.5,50,000/- respectively.
(ii) He has also disclosed Partners' Capital Account with respect of Bhagini Enterprises in a sum of Rs.33,69,426/- as on 31.03.2023.
(iii) S.S Enterprises Partner's Capital Account in a sum of Rs.73,01,062/- held by him and Rs.47,44,375/- held by his wife.
(iv) Net Working Capital Investment in Bhagini Group of Hotels, he has disclosed Rs.18,20,40,680/- held by him excluding immovable assets and corresponding loans.
(v) He has also disclosed shares held by him in Sreenidhi Souhardha Sahakari Bank Niyamitha valued at Rs.5,53,450/- and shares held by his wife in the said bank valued at Rs.1,500/- and has also shares held by him in Bharath Co-operative Bank ltd., valued in a sum of Rs.10,00,000/- and his wife holding shares of Rs.5,000/-.
8.2.10 During the cross-examination while answering question Nos. 8, 9, and 10 Respondent No.1 has admitted that he and his wife are into Hotel and Liquor businesses. While answering question Nos.21, 22 and 23, he has admitted that he has not furnished the details of the current account pertaining to aforesaid proprietary business concerns belonging to him and his wife, though both hold current and saving accounts. Though he claims that he has disclosed the money transactions pertaining to both Savings Bank Account and Current Accounts at Sl.No.(7)A(ii) of his Form 26 Affidavit the reference therein is only to the Savings Bank accounts and not to the current accounts as noted above. Relevant portion of his deposition is as under;
7. I have been doing hotel and liquor business.
8. The said business is looked after by my son and other employees.
9. My son is on his own. My wife and daughter are dependants.
10. Both of them own properties. My wife is also doing hotel business.
21. It is true to suggest that I have not furnished details of current account held by me and my wife.
22. The proprietary business of myself and my wife hold both current and savings account.
23. I have disclosed the money transaction pertaining to both saving and current account.
8.2.11 Discussion/ Analysis: Perusal of Sl.No.(7)A(ii) of the Form 26 Affidavit indicate requirement of disclosure of details of deposits namely; FDRs, Term Deposits and "all other types of deposits" including Savings accounts.
8.2.12 Sl.No.(7)A(iii)of the Form 26 Affidavit requires disclosure of details of investments in bonds, debentures, shares and units in companies, mutual funds, and others and the amount.
8.2.13 The terms 'all other types of deposits' would also include "Demand Deposit", which is a deposit received by a bank withdrawable on demand. As per Master Circular issued by the Reserve Bank of India dated 01.07.2009, the term "Demand Deposit" and "Current Account" are defined as under:
"Demand Deposit" shall mean a deposit received by the bank which is withdrawable on demand.
"Current Account" shall mean a form of demand deposit wherefrom withdrawals are allowed any number of times depending upon the balance in the account or upto a particular agreed amount and shall also be deemed to include other deposit accounts which are neither Savings Deposit nor Term Deposit."
Thus, the term "Demand Deposit" is defined to mean a form of Demand deposit. The allegations of non-disclosure of corresponding Current Account balance is therefore relatable to the "Demand Deposit".
8.2.14 The requirement of disclosure either of business entities/concerns or of corresponding Current Account balance in Sl.No.(7)A(ii) of Form 26 Affidavit invariably pertain to and 44 relatable to business entities/concerns namely; (1) R and R Bar and Restaurant, (2) Bhagini Residency, (3) Srinivasa Wines, (4) Bhagini Palace, (5) Wholesale Liquor proprietorship concern belonging to Respondent No.1 and Mini Bar Restaurant belonging to his wife.
8.2.15 Similarly, Sl.No.(7)A(iii) which requires disclosure of details of investments in Bonds, Debentures, Share and Units in companies, mutual funds "and others" and "the amount" would require Respondent No.1 to give the details of his business investments in respect of the business concerns being carried on under the name and style of (1) R and R Bar and Restaurant, (2) Bhagini Residency, (3) Srinivasa Wines, (4) Bhagini Palace, (5) Wholesale Liquor Proprietorship Concern belonging to Respondent No.1 and Mini Bar Restaurant belonging to his wife.
8.2.16 Conclusion: Admittedly there is neither disclosure of aforementioned business entities/concerns nor the corresponding current accounts balance amounts pertaining to said business entities/concerns in Sl.No.(7)A(ii) as well as in Sl.No.(7)A(iii) of Form 26 Affidavit.
8.2.17 Another crucial aspect of the matter is that at Sl.No.(9)(a)(b) and (9A) of Form 26 Affidavit Respondent No.1 has declared details of his profession/occupation and sources of his income and his wife as that of business. The said sources of income are admittedly related to aforesaid business entities/ concerns, details of which have not been disclosed/declared by him. Petitioner has thus proved the non-compliance of this requirement and the Respondent No.1 has failed to prove any compliance much less substantial compliance of this requirement.
8.3. Regarding non-disclosure of loans advanced by Respondent No.1:
8.3.1 Allegations: That in the Form 26 Affidavit filed by one Dr.H.D.Ranganath, who had contested elections to 131-Kunigal Constituency from Indian National Congress, in the very same 16th Karnataka State Legislative Assembly Election, 2023 and was duly elected from the said Constituency, it is disclosed that Respondent No.1 herein has advanced a loan of Rs. 20 lakhs to Smt.Suma Ranganath Wife of said Dr.H.D.Ranganath. However, 46 Respondent No.1 has not disclosed the same at Sl.No.(7)A(v) of his Form 26 Affidavit.
8.3.2 Similarly, Y.A. Narayanaswamy is the member of Karnataka legislative Council from Southeast Teachers Constituency in his Form 26 Affidavit filed during 2018 Legislative Assembly and legislative council election respectively he has declared that a sum of Rs.22,78,874 has been advanced to him by the Respondent No.1, which has not been disclosed by him at Sl.No.(7)A(v) of his Form 26 Affidavit.
8.3.3 Respondent No.1 at Sl.No.(7)A(v) of his Form 26 Affidavit has only declared that he has advanced a loan of Rs.95,09,09,522/- to Bhagini Hospitalities, Pvt. Ltd., and to no other person/entity. It is alleged that by not disclosing the loan given by him as on date of filing nomination paper and Form 26 Affidavit, Respondent No.1 has committed corrupt practice as defined under Section 123 (2) of R.P Act, 1951.
8.3.4 Response: That the Respondent No.1 had given a personal loan to Smt.Suma Ranganath on 06.03.2020. But the same is treated as bad debt as it is barred by time. Therefore he has not disclosed the said loan amount advanced to Smt.Suma Ranganath.
8.3.5 As regards loan transaction with Y.A.Narayanaswamy, it is contended that he had advanced loan of Rs.40,00,000/- on 07.01.2014 and Rs.25,00,000/- on 06.03.2014 totally amounting to Rs.65,00,000/- to the Respondent No.1. Out of the said amount, Rs.50,00,000/- was repaid on 17.12.2014, Rs.12,50,000/- was repaid on 18.03.2015 and Rs.2,50,000/- was repaid on 19.02.2015 to Y.A.Narayanswamy. After that no monetary transactions have taken place between Respondent No.1 and Y.A.Narayanswamy and the loan account was closed. Therefore there is no mention about such details.
8.3.6 Evidence: Ex.P9, is Form 26 Affidavit of Dr.H.D.Ranganath filed on 20.04.2023 along with his nomination papers to contest the Elections from 131 Kunigal Assembly Constituency, wherein 4th entry in Annexure-7 refers to loan lent by Respondent No. 1 to Smt.Suma Ranganath in a sum of Rs.20,00,000/-.
8.3.7 Respondent No.1 has claimed the he has treated the same as time barred.
8.3.8 Ex.P10 is Form 26 Affidavit of Sri.Y.A.Narayanaswamy dated 21.05.2018 filed along with his nomination papers to contest Election for 158-Hebbal Assembly Constituency, wherein at Sl.No.(7)B(8)(i) he has shown loan liable to be paid by him to Respondent No.1 in a sum of Rs.22,78, 874/-.
8.3.9 Respondent No.1 has claimed to have received the entire loan amount from the said Sri.Y.A Narayanswamy.
8.3.10 Conclusion: Nothing much of significance is elicited in this regard in the cross-examination of RW-1 to discredit his version. Petitioner has therefore failed to prove the same. Response of Respondent No.1 in this regard is accepted.
8.4 False information in relation to agricultural properties at Sl.No.(7)B(i) of Form 26 Affidavit with respect to lands owned by Respondent No.1 and his dependant daughter.
8.4.1 Allegation No.1: That the Respondent No.1 at Sl.No.(7)B(i)(e) and (f) has declared, he owns an extent of 37.5 guntas and 1 acre 5 guntas of agricultural lands respectively in Sy.No.21 situated in Basabathanahalli Village, Hosakote Taluk, Bengaluru Rural District. Whereas the Record of Rights and Encumbrance Certificate of Sy.No.21 discloses that further 49 extent of 2 acres 2 guntas of land standing in the name of Respondent No.1. That the said land is purchased by Respondent No.1 on 10.03.2006 in terms of a registered deed of sale. However, the Respondent No.1 has deliberately not disclosed the ownership of the said parcel of land in Form 26 Affidavit.
8.4.2 Response: Respondent No. 1 contended that under the deed of sale dated 09.03.2006 he purchased two items of land i.e., (i) Sy.No.19 measuring 2 acres 32.5 guntas and (ii) Sy.No.21 measuring 2 acres 22.5 guntas, of Basabathanahalli Village, Hosakote Taluk, Bangalore Rural District. The total sale consideration paid in respect of the said two items of the properties is Rs.10,00,000/. That total value of both the items of the property was Rs.11,00,970/- and the same is shown in the Form 26 Affidavit at Sl.No.(7)B(i)(b). That since both the items are purchased under the same deed of sale due to oversight only of Sy.No.19 is shown in the Form 26 Affidavit and Sy.No.21 and its extent is not shown, which is neither intentional nor deliberate as alleged by the petitioner.
8.4.3 Evidence: Ex.R2 is the copy of sale deed dated 09.03.2006 in terms of which Respondent No.1 has purchased aforementioned two items of lands in Sy.Nos.19 and 21 for Rs.10,00,000/-.
8.4.4 Ex.P12 is RTC extract which refers to three portions of land in Sy.No.21 namely; (1) portion measuring 2 acres 22.5 guntas, (2) portion measuring 37.5 guntas and (3) portion measuring 1 acre 5 guntas. These three portions of land in Sy.No.21 are shown in the name of Respondent No.1. Ex.P13 is the encumbrance certificate which refers to sale transactions in respect of these items of land in Sy.No.21.
8.4.5 Conclusion: There is no disclosure of an extent of 2 acres 22.5 guntas of land forming part of Sy.No.21 in the Form 26 Affidavit. Though there is a mention of the deed of sale dated 09.03.2006 under which the same was purchased, necessary to note while disclosing the approximate market value the Respondent No.1 at Sl.No.(7)B(i)(b)(c)(f) has given the following details:
| Sl.No. | Details | Value declared |
| 1 | Approximate value of 2 acres 32.5 guntas in Sy.No.19 | Rs.58,00,000/- |
| 2 | Approximate value of 37.5 guntas in Sy.No.21 | Rs.30,00,000/- |
| 3 | Approximate value of 1 acre 5 guntas in Sy.No.21 | Rs.36,00,000/- |
8.4.7 Allegation No.2: That at Sl.No.(7)B(i)(d) the Respondent No.1 has declared, he owns a total extent of 19 acres 11.5 guntas of agricultural land collectively in Sy.Nos.13, 52 16, 20, 9, 17, 18 and 15 situated at Basabathanahalli Village, Hosakote Taluk, Bengaluru Rural District.
8.4.8 In addition Respondent No.1 has also declared separately that he owns land in Sy.No.13 and 19. That if the said parcel of the land described at Sl.No.(7)B(i)(a),(e)and (b) is excluded from the total extent of land shown in the RTC pertaining to the Sy.Nos.13, 16, 20, 19, 17, 18 and 15, extent of land owned by the Respondent No.1 would be 21 acres 28 guntas. However Respondent No.1 has declared only an extent of 19 acres 11.5 guntas at Sl.No.(7)B(i)(d) of Form 26 Affidavit. The RTC pertaining to Sy.No.15 denotes an extent of 3 acres 15 guntas belonging to Respondent No.1 and name of the Respondent is not shown.
8.4.9 Response: Respondent No.1 purchased items shown at Sl.No.(7)B(i)(d) under a registered sale deed dated 13.12.2004, which clearly discloses that Respondent No.1 owns only 19 acres and 11 and 1/2 guntas of land. However due to inadvertence instead of Sy.No.5, Sy.No.15 is mentioned in Form 26 Affidavit. That total extent of land in Sy.Nos. 13, 16, 20, 19, 53 17, 18 and 5 is 19 acres 11 and 1/2 guntas which is the actual extent declared by Respondent No.1 in Form 26 Affidavit.
8.4.10 That land in Sy.No.5 of the Basabathanahallii Village, Hosakote Taluk, is measuring 38 guntas and 1 gunta of kharab land, whereas, land in Sy.No.15 is measuring around 3 acres 15 guntas and the Respondent No.1 is not the owner of the same, which is evident from the RTC produced by the petitioner himself.
8.4.11 Evidence: Ex.R3 is Deed of Sale dated 13.12.2004 under which Respondent No.1 purchased lands in Sy.Nos. 13,16,20,19,17, 18 and 5 is 19 acres 11 and a half guntas. Ex.P14 -RTC extract produced by the petitioner in respect of Sy.No.15 of Basabathanahalli village for 3 acres 15 guntas do not refer the name of the Respondent No.1.
8.4.12 Conclusion: Nothing is elicited in this regard to disbelieve his version since total extend of land in these survey numbers is found to be 19 acres 11 ½ guntas and in the absence of anything contrary being brought on record, allegation made in this regard is not proved by the petitioner.
8.4.13 Allegation No.3: That in Sl.No.(7)B(i)(g) of Form 26 Affidavit Respondent No.1 has declared that he owns an extent of 1 acre 37 guntas of agricultural land in Sy.No.9/1 situated in Chinnakayalapalli Village, Bagepalli Taluk, Chikkaballapur District. However, from the RTC it is revealed that the said property has been purchased by Sri.N.Srinivas Reddy, son of Nanjundappa also known as Sri.S.Nanjundareddy. That even though the property does not belong to the Respondent No.1, a false declaration has been made in Form 26 Affidavit in this regard.
8.4.14 Response: That the said land in Sy.No.9/1 was purchased by Respondent No.1 on 19.03.1998. Though the RTC stands in the name of N.Srinivas Reddy, who is the brother of Respondent No.1, as there are certain inter se disputes between Respondent No.1 and his brother with regard to sharing of the properties, the same is shown in the Form 26 Affidavit as the property of Respondent No.1.
8.4.15 Evidence: Ex.P15 is RTC extract in respect of Sy.No.9/1 reflecting name of Sri.N Srinivas Reddy son of Nanjunda Reddy. Ex.R4 is copy of the deed of sale dated 19.03.1998 under which the said land has been purchased by the Respondent No.1 as claimed.
8.4.16 Conclusion: Nothing is proved or elicited by the petitioner to contradict this version of the Respondent No.1.
8.4.17 Allegation No.4: That in Sl.No.(7)B(i)(b) in Form 26 Affidavit, Respondent No.1 has declared that his daughter owns an extent of 1 acre 10 guntas of agricultural land in Sy.No.164 situated in Kothakote Village, Bagepalli Taluk, Chikkaballapur District. In the RTC the entire extent of 1 acre 10 guntas of land has been converted from agriculture to commercial purpose in terms of conversion order dated 26.05.2022. The said fact has been suppressed in Form 26 Affidavit and incorrect valuation of the said property has been made by the Respondent No.1 in relation to the said land in Sy.No.164 owned by his daughter.
8.4.18 Response: As regards allegations of non-disclosure of nature of land, it is contended that the land has been recently converted from agricultural to non-agricultural/commercial purposes. Respondent No.1 by oversight shown the above said 56 land in Sl.No.(7)B(i)(b) as agricultural land and since no non- agricultural activities have taken place in the said land, the land is shown as agricultural land. There is no suppression of any information.
8.4.19 Evidence: Ex.P16 -RTC standing in the name of Amrita S daughter of Respondent No.1 in respect of land in Sy.No.164 measuring 1 acre 10 guntas showing nature of land being commercial; Ex.P17-Official reminder dated 26.05.2022 indicates said land is converted for non-agricultural commercial purposes.
8.4.20 Conclusion: Non-disclosure of nature of land bearing Sy.No.164 measuring 1 acres 10 guntas of land in Kothakote Village, Bagepalli Taluk is admitted. The same is shown under the Heading "Agricultural Land".
8.4.21 Allegation No.5: At Sl.No.(7)B(i)(j) of Form 26 Affidavit, Respondent No.1 has declared that he owns an extent of 10 acres 10 guntas of agricultural land collectively in Sy.Nos.173, 174, 138/2, 158/2, 172 and 157 situated in Kothakote Village, Bagepalli Taluk, Chikkaballapur District. The 57 RTC in relation to Sy.Nos.173, 174, 138/2, 158/2, 172 and 157 is produced where it is shown that the said survey numbers have been converted from agricultural to commercial purposes in terms of the order dated 26.05.2022. The said fact has been suppressed in Form 26 Affidavit and incorrect valuation has been made by Respondent No.1. That declaring false information in relation to agricultural properties at Sl.No.(7)B(i) of Form 26 Affidavit with respect to lands owned by Respondent No.1 amounts to corrupt practice.
8.4.22 Response: As regards land in Sy.Nos. 173, 174, 138/2, 158/2, 172 and 157, it is contended that the same has been converted from agricultural to non-agricultural commercial purposes recently. Respondent No.1 inadvertently has shown the above said land in Sl.No.(7)B(i)(b) as agricultural land. That since no non-agricultural activities have been taken place, by oversight the said non-agricultural property is shown as agricultural property in Form 26 Affidavit.
8.4.23 Evidence: Ex.P18 copies of RTC extracts of lands in Sy.Nos. 173, 174, 138/2, 158/2, 172 and 157 standing in the name of Respondent No.1 showing nature of land being 58 Commercial. Ex.P19 are the five Official Reminder all dated 26.05.2022 indicating said lands are converted for non- agricultural commercial purposes.
8.4.24 Conclusion: Non-disclosure of nature of lands in Sy.Nos. 173, 174, 138/2, 158/2, 172 and 157 is admitted. The same is shown under the Heading "Agricultural Land".
8.5 Non-disclosure in relation to Agriculture Properties at Sl.No.(7)B(i)(d) of Form 26 Affidavit relating to Respondent No.1's wife:
8.5.1 Allegation: At Sl.No.(7)B(i)(d) of Form 26 Affidavit relating to wife of Respondent No.1, it is declared that his wife owns an extent of 2 acres 35 guntas of agricultural land in Sy.No.12 situated at Basabathanahalli Village, Hosakote Taluk. That on verification it was found that the said land is classified into (1) Sy.No.12 measuring 1 acre 27 guntas, (2) Sy.No.12/1 measuring 1 acre 27 guntas, (3) Sy.No.12/2 measuring 1 acre 8 guntas. As such the entire extent of land in said survey number is 4 acres 3 guntas which is standing in the name of the wife of the Respondent No.1. Respondent No.1 however at Sl.No.(7)B(i)(d) of Form 26 Affidavit has disclosed only an extent of 2 acres 35 guntas in the said survey number as the 59 agricultural property owned by his wife. That the non-disclosure of this property in the affidavit relating to his wife amounts to corrupt practice.
8.5.2 Response: Respondent No.1 has contended that his wife purchased the said properties under two deeds of sale, both dated 09.11.2011 an extent of 1 acre 8 guntas and 1 acre 27 guntas of land respectively in Sy.No.12 of Basabathanahalli Village, Hosakote Taluk, Bengaluru Rural District. The total extent purchased under the said two deeds of sale is 2 acres 35 guntas. That even mutation has been effected in the name of wife of the Respondent No.1. That apart from said 2 acres 35 guntas of land, no other extent is owned by her.
8.5.3 Evidence: Ex.P20 is the RTC extract showing land in Sy.No.12/2 measuring 1 acre 27 guntas in the name of wife of Respondent No.1 vide MR3/2011-2012 (sale deed dated 18.05.2012) and another extent of 1 acre 8 guntas in her name vide MR 4/2011-2012 (sale deed dated 07.01.2012). Exs.R5 an R6 are the deeds of sale produced by the Respondent No.1.
8.5.4 Conclusion: Nothing is elicited in this regard to justify that the wife of the Respondent No.1 is owner of any additional land.
8.6 Non-disclosure of non-agriculture properties at Sl.No.(7)B(ii) of Form 26 Affidavit relating to Respondent No.1:
8.6.1 Allegation: That Respondent No.1 has not disclosed his ownership of the converted land to an extent of 1 acre 15 guntas in Sy.No.138/1 situated at Kothakote Village, Bagepalli Taluk, Chikkaballapur District. That the Respondent No.1 has suppressed the details of non-agricultural property owned by him in Sy.No.138/1. Thereby has committed corrupt practice.
8.6.2 That at Sl.No.(7)B(ii)(a) Respondent No.1 has declared that he owns an extent of 8 acres of non-agricultural land in Sy.No.32/1 situated at Chokkanahalli, Yelahanka. That on verification it was found that Respondent No.1 also owns another extent of 8 acres of land in Sy.No.32/9 of Chokkanahalli. However, he has not disclosed the same in his Form 26 Affidavit. Thus non-disclosure of this amounts to corrupt practice.
8.6.3 Response: It is contended that there is a dispute between the Respondent No.1 and his brother Srinivas Reddy with respect to land in Sy.No.138/1 which was a self-acquired property of the deceased father of Respondent No.1. Hence the same is not disclosed in Form 26 Affidavit. That as earlier submitted in respect of Sy.No.9/1 which stands in the name of brother of Respondent No.1 with regard to this property there is an unresolved inter-se dispute.
8.6.4 That Respondent No.1 has purchased only 8 acres of land in No.32/1 of Chokkanalli Village, Yelahanka under deed of sale dated 15.01.2009. Apart from the above 8 acres, no other extent is owned by Respondent No.1 in the Sy.No.32 or any part thereof. He is not the owner of land in Sy.No.32/9 or Sy.No.32/8.
8.6.5 Evidence:
(a) Ex.R7 is deed of sale dated 15.01.2009 in respect of land measuring 8 acres in Sy.No.32/1.
(b) Ex.P23- the RTC extract refers to land in Sy.No.32/1 do not reflect the name of Respondent No.1.
(c) Last page of Ex.P23 refers to land in Sy.No.32/9 reflecting the name of Respondent No. 1.
(d) It is also admitted by petitioner witness that Respondent No.1 has purchased an extent 8 acres of land in Sy.No.32/1 as per sale deed dated 15.01.2009 marked as Ex.R.7 which is also shown in Ex.P23 RTC extract.
(e) In the cross-examination, Respondent No.1 has stated that Sy.No.32/9 must have been shown after the Phodi.
8.6.6 Conclusion: Petitioner has not been able prove the allegation of Respondent No.1 not disclosing his ownership over the converted land to an extent of 1 acre 15 guntas in Sy.No.138/1 situated at Kothakote Village, Bagepalli Taluk, Chikkaballapur District. The explanation offered by the Respondent No.1 in this regard has not been rebutted.
8.6.7 As regards land in Sy.32/1, perusal of deed of sale dated 15.01.2009 at Ex. R.7 and RTC at Ex.P23 in respect of Sy.No.32/1 reflect the name of Respondent No.1 in respect of 8 acres of land vide MR.37/2009-2010. Said material evidence read in the light of deposition of Respondent No.1 indicate that he is the owner of land in Sy.No.32/1 which is also shown as 63 Sy.No.32/9, perhaps after the phodi as contended by Respondent No.1. Petitioner has failed to prove this allegation.
8.7 False information in relation to valuation of properties at Sl.No.7 of Form 26 Affidavit:
8.7.1 Allegation: That as per the requirement under Form 26 Affidavit Respondent No.1 was required to disclose the "Approximate Current Market Value" of the properties owned by him, his wife and dependent daughter. Whereas, Respondent No.1 has undervalued the properties and has declared incorrect information in Form 26 Affidavit. Thereby he has committed corrupt practice.
8.7.2 Though in the petition the petitioner has alleged Respondent No.1 has under valued all the properties, during the argument the petitioner has restricted the said allegation only in respect of land bearing Sy.No.164, measuring 1 acre 10 guntas situated at Kothakote Village, Bagepalli Taluk belonging to the daughter of the Respondent No.1 as well as land forming part of Sy.Nos. 173, 174, 138/2, 158/2, 172 and 157 totally measuring 10 acres 10 guntas situated at Kothakote Village, Bagepalli Taluk belonging to the Respondent No.1. It is further alleged that though the said lands are converted for non-agricultural commercial purposes same are shown as agricultural land. The approximate value of land in Sy.No.164 measuring 1 acre 10 guntas of Kothakote Village, is declared as Rs.10,00,000/-. Similarly, approximate value of the land bearing Sy.Nos.173, 174, 138/2, 158/2, 172 and 157 totally measuring 10 acres 10 guntas situated at Kothakote Village, Bagepalli Taluk has been shown as Rs.50,00,000/-.
8.7.3 Referring to the Guidelines value issued by the State Government in respect of the properties situated within the jurisdiction of Bagepalli Sub-Registrar for the year 2018-19, a memo dated 11.02.2026 with the statement is filed in which it is contended that the current market value of the property in Sy.No.164 is Rs.11,25,000/- and not Rs.10,00,000/- as declared. Whereas current market value of the property in Sy.Nos.173, 174, 138/2, 158/2, 172 and 157 totally measuring 10 acres 10 guntas situated at Kothakote Village, Bagepalli Taluk is Rs.1,13,45,000/- and not Rs.50,00,000/- as declared. Thus, it is alleged Respondent No.1 has suppressed the actual current market value of the property.
8.7.4 Response: Respondent No.1 contended that he has furnished the correct valuation of the properties and has not undervalued any properties. That the valuation provided in Form 26 Affidavit is the best valuation.
8.7.5 Evidence:
(a) The Respondent No.1 at Sl.No.(7)B(i)(a), (b), (c), (e), (g), (h), (i) and (j) has provided "Approximate Current Market Value" of the agricultural lands as under;



(b) The Respondent No.1 at Sl.No.(7)B(ii) (a), (b), (c), (d), (e) and (f) has provided Approximate Current Market Value of the non-agricultural land as under;

8.7.6 Discussion/ Analysis: At Sl. No.(7)B(i)(a), (b), (c),(d), (e), (g), (h), (i) and (j) as well as Sl.No.(7)B(ii) (a), (b), (c), 68 (d), (e) and (f) of Form 26 Affidavit in addition to other details also require Respondent No.1 to declare "Approximate Current Market Value" of the immovable properties. What is "Approximate Current Market Value" is not defined. Learned Senior Counsel for the petitioner contend that the "Approximate Current Market Value" of the property shall be the Guidelines Value as issued by the State Government for the purpose of registration and payment of duty.
8.7.7 Thus, relying upon the same learned Senior counsel for the petitioner contended that Respondent No.1 has grossly undervalued the value of the agricultural lands as well as the converted lands in Form 26 Affidavit.
8.7.8 Per contra, learned Senior counsel appearing for the Respondent No.1 contended that the Guidelines Value being relied upon by the petitioner cannot be the yardstick or the basis to determine the "Approximate Current Market Value" of the properties. Since the Respondent No.1 is neither into real estate business nor he is intending to sell the properties, has given reasonable and approximate value which in his estimation is the "Current Market Value".
8.7.9 Conclusion: Since the petitioner has restricted the allegation of under valuation of the property in respect of land in Sy.No.164 measuring 1 acres 10 guntas standing in the name of his daughter and land in Sy Nos.173, 174, 138/2, 158/2, 172 and 157 totally measuring 10 acres 10 guntas situated at Kothakote Village, Bagepalli Taluk there is no requirement of adverting to the allegation of under valuation in respect of other lands. The difference between the "Current Market Value" as declared by the Respondent No.1 in Form 26 Affidavit, compared to valuation as per the Guidelines Value in respect of said properties is as under;


8.7.10 Since the specific term ''Approximate Current Market Value'' is used, it has to be given plain meaning of a price at which one can offer to sell or to buy. Reference in this regard can only be made to the Guidelines Value which is issued by the State Government for the purpose of registration and payment of stamp duty. There is certainly a difference in market value of the lands. That apart, the Respondent No.1 has declared the aforesaid lands to be agricultural land even while the same are admittedly converted for non-agricultural commercial purposes. Thus, there is a false declaration regarding nature of land. Petitioner has proved this allegation.
8.8. Non-disclosure of GST dues at Sl.No.8 of Form 26 Affidavit.
8.8.1 Allegation: That the election candidate is required to disclose the details of the liabilities/dues to the public financial institutions and Government such as Income Tax dues, GST dues, property tax dues. That as per Section 44 of the CGST Act, annual returns in GSTR-9 and GSTR-9C are required to be 71 filed by the business concern with an annual turnover of more than Rs.2 crores in a financial year. It is submitted that from the data retrieved from the GST portal or website, Respondent No.1 has filed GSTR-9 and GSTR-9C in respect of (1) R and R Bar and Restaurant, (2) Bhagini Residency, (3) Srinivasa Wines, (4) Bhagini Enterprises, (5) Bhagini Palace only upto financial year 2019-2020. He has not filed GSTR-9 and GSTR-9C for the period thereafter which entails late fee and penalty as provided under Section 47 of the CGST Act. Further, such non-filing of GSTR-9 and GSTR-9C signify that the GST dues in relation to said business is not only suppressed in the Form 26 Affidavit, but also from the GST authorities. 8.8.2 Similarly, wife of Respondent No.1, also has not filed GSTR-9 and GSTR-9C in relation to her active `Mini Bar and Restaurant' business, a proprietorship concern after 2019-2020.
8.8.3 That on account of non-filing of GSTR-9 in relation to said entities run by himself and his wife, Respondent No.1 and his wife were liable to pay applicable late fee and penalty. Since the information on the public domain discloses GSTR-9 is not filed from the financial year 2021 onwards, Respondent No.1 was 72 liable to pay the late fee and as such there existed statutory dues as on the date of filing of affidavit which has been suppressed by the Respondent No.1.
8.8.4 Response: It is contended that the payment dues and penalty or late fee arises only when there is a demand from the statutory authorities and as there was no demand or notice from the competent authorities, the same has not be disclosed in Form 26 Affidavit. There is no willful suppression or non- disclosure of any dues in Form 26 Affidavit by the Respondent No.1. As the penalty or any due is not shown in the website, as there was no demand of any such amount, same is shown as 'Nil'.
8.9. Non-disclosure in relation to late fee due and payable by the Respondent No.1 under Section 47 of CGST Act.
8.9.1 Allegation: That GSTR-3B is a self declaration statement containing summary details of outward supplies (sales) made and details of the input tax credit. The due date for filing of GSTR-3B is 20th of subsequent month. If there was any delay in filing GSTR-3B, Section 47 of the CGST Act stipulates late fee which starts immediately after the due date. That the late fee 73 will automatically be added in the next month's GSTR-3B and late fee for delay in GSTR-3B is levied at the rate of Rs.50/- per day of delay and Rs.20/- per day of delay for taxpayers having 'Nil' tax liability for the month. That as per the information retrieved from the GST website for the month of 02.02.2023 Respondent No.1 had filed GSTR-3B relating to GSTIN29ADDPR8125K5ZY belatedly that is on 24.03.2023 with a delay of 4 days. Applicable late fee for 4 days was payable on 20.04.2023, the date on which GSTR-3B for the month of March 2023 was required to be filed. Whereas GSTR-3B for GSTIN29ADDPR8125K5ZY in respect of March 2023 is also filed belatedly i.e. on 03.05.2023. It is submitted that the fact of GSTR-3B for March 2023 has been filed on 03.05.2023. Thus the late fee towards belated filing of GSTR- 3B for February 2023 is paid by the Respondent No.1 only on 03.05.2023. Respondent No.1 who filed his Form 26 Affidavit on 20.04.2023 ought to have disclosed at Sl.No.8 that there exists a statutory due in the nature of late fee payable under Section 47 of CGST Act in respect of GSTIN29ADDPR8125K5ZY. Non-disclosure of the same amounts to corrupt practice.
8.9.2 Response: As regards to the allegations of non- disclosure in relation to late fee due and payable by the Respondent No.1 under Section 47 of CGST Act, it is contended that as there is no demand for payment of any dues or penalty, the same is shown as 'Nil'.
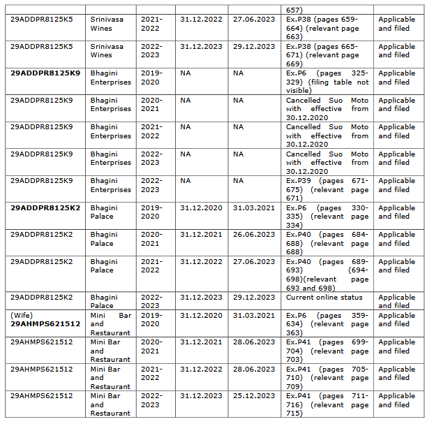
8.9.3 Evidence: Exs.P6, P36 to P41 are the GST payment status in respect of (1) R and R Bar and Restaurant, (2) Bhagini Residency, (3) Srinivasa Wines, (4)Bhagini Enterprises/Whole Sale Liquors, (5) Bhagini Palace which read as under;


8.9.4 Respondent No.1 in his cross-examination at paragraphs 40 to 47 has deposed as under;
40. I have been paying the Goods and Service Taxes regularly in respect of all my business entities and I have disclosed the same in my affidavit in Ex.P4.
41. In the earlier regime the Value Added Tax (VAT) was being paid individually. After introduction of Goods and Service Taxes (GST) regime taxes is being paid under the Bhagini group entity.
42. Though there are different registered numbers assigned to five business entitles, since they come under one group name, taxes have been paid accordingly.
43. It is not correct to suggest that the taxes were not paid up to date, as on the date of filing affidavit as per Ex.P4.
44. It is not correct to suggest that the annual returns were filed only upto the years 2019-2020 and not for the years 2021-2022 and 2022-2023.
45. Since there were COVID-19 restrictions returns were filed in the month of July and December 2023.
46. There were no GST dues as on the date of filing of affidavit as per Ex.P4.
Question: GST has not been paid even in respect of "Mini Bar and Restaurant" belonging to your wife for the years 2020-2021, 2021-2022, 2022-2023 ?
Answer: Since the business entities were merged the taxes were paid.
47. It is not correct to suggest that there were any dues payable in respect of said "Mini Bar and Restaurant" business as on the date of filing of affidavit as per Ex. P4."
8.9.5 Discussion/Analysis: Learned Senior counsel appearing for the petitioner contended that in terms of Sections 44 and 47 of CGST Act, GSTR-9 and GSTR-3B are to be filed for each financial year within the due date prescribed. Non-filing of the annual returns on the actual dates results in automatic liability 77 towards payment of late fee and penalty and non-disclosure of the same would amount to suppression of facts.
8.9.6 Per contra, learned counsel appearing for the Respondent No.1 contended that non-filing of annual returns and consequent levy of late fee cannot be read and extended to mean non payment of Government dues. Therefore, he submitted, even if the Respondent No.1 has not submitted the returns, the same would not amount to non-disclosure of GST dues as there was no notice by the Statutory authorities either for alleged payment of dues or for payment of late fee dues.
8.9.7 Appropriate to refer to Sections 44 and 47 of the CGST Act, 2017 which reads as under:
"44. Annual return. –
2 [(1)] Every registered person, other than an Input Service Distributor, a person paying tax under section 51 or section 52, a casual taxable person and a non-resident taxable person shall furnish an annual return which may include a self-certified reconciliation statement, reconciling the value of supplies declared in the return furnished for the financial year, with the audited annual financial statement for every financial year electronically, within such time and in such form and in such manner as may be prescribed:
Provided that the Commissioner may, on the recommendations of the Council, by notification, exempt any class of registered persons from filing annual return under this section:
Provided further that nothing contained in this section shall apply to any department of the Central Government or a State Government or a local authority, whose books of 78 account are subject to audit by the Comptroller and Auditor-General of India or an auditor appointed for auditing the accounts of local authorities under any law for the time being in force.]
[(2) A registered person shall not be allowed to furnish an annual return under sub-section (1) for a financial year after the expiry of a period of three years from the due date of furnishing the said annual return:
Provided that the Government may, on the recommendations of the Council, by notification, and subject to such conditions and restrictions as may be specified therein, allow a registered person or a class of registered persons to furnish an annual return for a financial year under sub-section (1), even after the expiry of the said period of three years from the due date of furnishing the said annual return.]
47. Levy of late fee. –
(1) Any registered person who fails to furnish the details of outward or 1[***] supplies required under section 1 37 [***] or returns required under section 39 or section 45 2[or section 52] by the due date shall pay a late fee of one hundred rupees for every day during which such failure continues subject to a maximum amount of five thousand rupees.
(2) Any registered person who fails to furnish the return required under section 44 by the due date shall be liable to pay a late fee of one hundred rupees for every day during which such failure continues subject to a maximum of an amount calculated at a quarter per cent of his turnover in the State or Union territory."
8.9.8 Perusal of the aforesaid provisions would indicate that every registered person other than an input service distributor, a person paying tax under Section 51 or Section 52, a casual taxable person and non-residential taxable person shall furnish an annual return which may include a self certified returns 79 reconciliation statement. Sub-Section (2) of 44 CGST also provides filing of annual returns within three years or even after three years from the due date of furnishing the said annual returns. Clearly, what is mandated is furnishing of annual returns.
8.9.9 Section 47 of the CGST Act provides for levy of late fee in the event of failure to furnish the returns required under Section 44 of the CGST Act, the aforesaid provisions do not indicate that the same would amount to GST dues. Perhaps, on scrutiny of such returns under Chapter XII (under Section 61) and assessment of non-filers of returns (under Section 62) and who is required to pay the tax and has failed to pay can be held liable to pay only on determination of tax not paid or short paid or erroneously refunded etc., as contemplated under Chapter XV of the CGST Act, 2017 under the heading ''Demands and Recovery''. Unless and until, there is a determination of the tax payable as contemplated under said Chapter and demand being raised thereafter, it cannot be held to be dues payable merely because of non furnishing of the returns.
8.9.10 Conclusion: In the instant case, the petitioner has not furnished any material evidence with regard to there being any demand raised by the authorities after determination of tax under Chapter-XV of CGST Act, 2017.
8.9.11 In any event, the late fee contemplated under Section 47 of CGST is Rs.100/- for everyday during which such failure continues, maximum amount of Rs.5,000/- or a quarter percent of the turn over in the State of Union Territory. Therefore, this Court is of the considered view that this aspect of the matter cannot be stretched to the extent amounting to corrupt practice as sought to be contended by the petitioner.
8.10 Non-disclosure of assets in relation to Bhagini Hospitalities Pvt. Ltd. wherein the Respondent No.1 and his wife are the Directors.
8.10.1 Allegation: That at Sl.No.(7)A(iii) of Form 26 Affidavit, Respondent No.1 has disclosed that he and his wife had interest in Bhagini Hospitalities Pvt. Ltd. A search carried out on the website of Ministry of Corporate Affairs, it was discovered that Respondent No.1 and his wife were only the directors and shareholders of Bhagini Hospitalities Pvt. Ltd., since incorporation of the company. That the Master Data as downloaded from the Ministry of Corporate Affairs portal disclosed that the last Annual General meeting was held on 31.12.2020. Balance sheet was last filed upto 31.03.2020, which means the company to which the Respondent No.1 and his wife are the only directors has not filed financial returns for the period subsequent to 31.03.2020. It is further contended that the details of the assets under charge as available on the Ministry of Corporate Affairs portal, disclose that the company owns certain immovable and movable properties. That charges are also created for such immovable and movable properties. The Respondent No.1 by not disclosing these relevant details in his affidavit along with nomination papers has committed corrupt practice.
8.10.2 Response: It is contended that Bhagini Hospitalities Pvt. Ltd., is a company, details of which are not required to be disclosed in Form 26 Affidavit. What is required under law to be disclosed with regard to a private limited company has been disclosed in the Form 26 Affidavit. Hence there is no suppression or non-disclosure of the assets and liabilities.
8.10.3 Evidence: Ex.P24 is the company Master Data pertaining to Bhagini Hospitalities Pvt. Ltd. Learned Senior counsel for the petitioner vehemently contended that in terms of data furnished, the last AGM was conducted on 31.12.2020, and the last date of balance sheet was submitted on 31.03.2020. Whereas, Note:3 under Sl.No.(7)A of the Form 26 Affidavit mandates that value of bonds/share debentures as per current market value in stock exchange in respect of listed companies and as per books in the case of non-listed companies should be given. Thus, she submits that since the balance sheet of the said entity is published only upto 31.03.2020, the share value details provided under Clause- (7)A(iii) of both Respondent No.1 and his wife are incomplete and amounts to suppression. Learned Senior counsel for the Respondent No.1 on the other hand submits that Respondent No.1 and his wife are the only two shareholders of the said company and they have declared equity shares held by both of them. That there is no requirement of declaring assets and liabilities of the said entity, as the shareholders are different and distinct from that of the company. Shareholders, unless company is wound up, cannot claim to be owners of its assets.
8.10.4 Conclusion: There is no column requiring disclosure of assets and liabilities of the company of which a candidate, his wife or his dependents are the shareholders. Therefore, the allegation made under this head holds no water. As regards, book value of the shares pertaining to non-listed company, though balance sheet of company is published only upto 31.03.2020, Respondent No.1 at Sl.No.(7)A(iii) has given equity share value held by him and his wife as Rs.9,00,50,000/- and Rs.5,50,000/- respectively. This Court in the absence of petitioner demonstrating any significant increase in the share value, deems it appropriate to hold that there is substantial compliance made by Respondent No.1 in this regard.
8.11 False declaration of Income Tax Return at Sl.No.4 of Form 26 Affidavit in relation to Respondent No.1 and his wife.
8.11.1 Allegation: That at Sl.No.4 of Form 26 Affidavit prescribes that the pan and the status of filing the income tax returns for the last financial years of the candidate, spouse of the candidate and the dependents of the candidates to be disclosed. That the Respondent No.1 has declared the total income as per income tax returns for the years 2017-2018, 84 2018-2019, 2019-2020, 2020-2021 and 2021-2022 as regards himself and his wife. It is further contended as forthcoming from the data retrieved from the GST portal Respondent No.1 and his wife have not filed GSTR-9 and GSTR-9C in relation to their respective active GSTIN since 2020-2021. That from the data retrieved from the Ministry of Corporate Affairs portal financial from the Bhagini Hospitalities Pvt. Ltd. wherein the Respondent No.1 and his wife are the only directors have not been filing financial returns since 2020-2021. Thus, it is submitted non-filing of the GSTR of the business entities run by the Respondent No.1 and his wife respectively and non-filing of the financial returns of Bhagini Hospitalities Pvt. Ltd. has a direct bearing on the total income of Respondent No.1 and his wife. Therefore the ITR disclosed by Respondent No.1 at Sl.No.4 of the affidavit as regards himself and his wife are false.
8.11.2 Response: It is contended that Respondent No.1 has furnished all the details and there are no false declaration in respect of income tax returns at Sl.No.4. It is the responsibility of the company to file its financial and annual returns and the 85 same is not required to be disclosed by the Respondent No.1 in Form 26 Affidavit. Hence the allegations are denied.
8.11.3 Evidence: Except the allegations made above, no evidence is produced with regard to suppression of any income in the income tax returns.
8.11.4 Conclusion: Non-filing of GST returns and non-filing of returns pertaining to Bhagini Hospitals Pvt ltd., as alleged cannot be construed as non-filing of or incomplete filing of income tax returns by Respondent No.1 or his wife under the Income Tax Act. In any event, issue pertaining to any shortcomings in filing of Income Tax Returns would be dealt with by the appropriate authorities. Petitioner has not placed any material evidence in this regard and such allegation can only be speculative without any specific details forthcoming.
8.12 Non-disclosure of offshore assets of Respondent No.1.
8.12.1 Allegation: That at Sl.No.(7)A of Form 26 Affidavit stipulated that details under Sl.No.(7)A should include the interest in the ownership of offshore assets which would include deposit or investment in foreign banks or the other institutions and the details of all the assets, liability of the foreign countries. That Respondent No.1 owns various assets of the foreign countries and has deposited in the foreign bank which has not been disclosed in Form 26 Affidavit by the Respondent No.1. That the petitioner is in the process of obtaining documents and will furnish the same later.
8.12.2 Response: It is contended that neither does the Respondent No.1 own any assets in the foreign country nor does he hold any deposits in the foreign banks. Therefore there is no suppression or non-disclosure of offshore assets as alleged in the petition.
8.12.3 Evidence: No evidence is led by the petitioner in this regard.
8.12.4 Conclusion: No case made out on this ground.
8.13 Respondent No.1 has indulged in corrupt practice as defined under Section 123(1) of the RP Act.
8.13.1 Allegation: That upon filing the nomination papers in Form 26 Affidavit on 20.04.2023 Respondent No.1 and his agents in the guise of election campaign resorted to inducing the electors to vote the Respondent No.1 by offering 87 gratification in the nature of money and promised to make huge sums of donation to the temples. That the petitioner learnt on 25.04.2023 the Respondent No.1 when carrying out the election campaign in Ward No.15 SC Colony which comes under 140- Bagepalli constituency had promised that he would donate Rs.50,000/- to a temple if the electors vote him and get him elected. The said statement was video recorded and widely circulated among the electors of 140-Bagepalli constituency. That promise to make the monetary payments when the Code of Conduct was imposed amounts to corrupt practice. It is further alleged that one Sri.K.V.Prashanth had given a complaint to the election officer of Bagepalli constituency on 27.04.2023 along with the CD containing the promises made by Respondent No.1 seeking necessary action. Said complaint dated 27.04.2023 was forwarded to MCC Nodal officer by the election officer vide letter dated 28.04.2023 for further examination, filing the report, who in turn forwarded the same to Narasimhareddy, FST-1 who was appointed as the flying squad during the election. That the said Narasimhareddy, FST-1 upon receipt of the complaint forwarded to him conducted the spot panchanama and filed a complaint dated 01.05.2023 88 before the jurisdictional Police Station for taking necessary action. The Station House Officer registered NCR No.171/2023 against the said complaint and made the requisition before the jurisdictional Magistrate seeking permission to investigate the non cognizable offence punishable Section 171E of the IPC. The jurisdictional Magistrate acting under Section 151(2) of Cr.P.C by order dated 02.05.2023 permitted SHO Bagepalli Station to register the case against the Respondent No.1 and investigate the offence punishable under Section 171E of IPC. That making such promises by the Respondent No.1 inducing the electors to vote in his favour by offering gratification amounts to corrupt practice.
8.13.2 Response: It is contended that based on the false complaint, FIR came to be registered. After thorough investigation into the complaint, the jurisdictional police have submitted their final report/`B' report to the effect that Respondent No.1 has not offered any illegal gratification or attempted to induce any electors to vote in his favour. The `B' report was submitted to the Civil Judge at JMFC, Bagepalli which was accepted by the Court on 07.10.2023. The perusal of 89 the report discloses that the false complaint was lodged and the same did not disclose any cause of action much less the corrupt practice as contemplated under Section 123(1) of the R.P. Act, 1951
8.13.3 Evidence: No evidence in this regard is produced by the petitioner.
8.13.4 Conclusion : No case made out on this ground.
8.14 Non-disclosure of statutory dues at Sl.No.8 in respect of properties declared at Sl.No.7 of Form 26 Affidavit.
8.14.1 Allegation: That since Bruhat Bengaluru Mahanagara Palike is a statutory body Respondent No.1 was required to furnish the details of the property tax dues if any, with respect to the properties owned by him, his wife, dependent daughter in his Form 26 Affidavit. Respondent No.1, however, has not disclosed the property tax dues payable to BPMP in relation to properties owned by him, his wife and daughter namely;
(i) At Sl.No.(7)B(ii)(c) of Form 26 Affidavit, Respondent No.1 has declared that he owns a non-agricultural property measuring 3.3 guntas situated in Sy.No.46/1 Chowdeshwari layout, Marathahalli. As per the records available online, petitioner discovered that Respondent No.1 has paid property tax relating to the said property 90 only upto 2020-2021 and has not paid property tax for the years 2021-2022, 2022-2023. That petitioner by his letter dated 19.06.2023 had sought information regarding the property tax dues payable by Respondent No.1 under the Right to Information Act with respect to the property described at Sl.No.(7)B(ii)(c) of Form 26 Affidavit.
(ii) That at Sl.No.(7)B(iii)(a) to (h) of Form 26 Affidavit Respondent No.1 has declared commercial properties owned by him and his wife. At Sl.No.(7)B(iii)(a) Respondent No.1 has declared that he owns commercial properties situated at Bhattarahalli Village, K.R.Puram Hobli, Bangalore. As per the records available online it is discovered that Respondent No.1 has paid the property tax on the said property only upto 2019-2020 and there are no records of him having paid property tax thereafter.
(iii) It is seen at Sl.No.(7)B(iii)(b) of Form 26 Affidavit Respondent No.1 declared that he owns a commercial property bearing Sy.No.108/1 situated at Devarabeesanahalli, Marathahalli, Bengaluru. As per the record whereas Respondent No.1 has paid property tax in relation to said property only upto 2021-2022 and not thereafter.
(iv) At Sl.No.(7)B(iii)(d) of Form 26 Affidavit Respondent No.1 has declared that he owns a commercial property situated at Kundalahalli gate. As per the record property tax is paid only upto 2020-2021 and not thereafter.
(v) At Sl.No.(7)B(iii)(e) of Form 26 Affidavit Respondent No.1 has declared that he owns a commercial property bearing No. 48/2 situated at Vignananagar, Bengaluru. But the property tax is paid only upto 2017-2018 and not thereafter.
(vi) At Sl.No.(7)B(iii)(f) of Form 26 Affidavit he has declared that he owns a commercial property situated in Sy.No.No.89/2, Munnekolalu Village, Bengaluru. But the tax is paid only upto 2018-2019 and not thereafter.
(vii) That by a letter dated 19.06.2023 petitioner had sought information regarding property tax due payable by the Respondent No.1 under RTI in respect of the property described at Sl.Nos.(7)B(iii)(a), (b), (d), (e) and (f) of Form 26 Affidavit. In response to the said letter, the Asst. Revenue Inspector, BBMP had issued reply dated 21.06.2023 under the Right to Information Act, that the Respondent No.1 has paid the property tax only upto 2019-2020 in relation to the property described at Sl.No.(7)B(iii)(a). The certificate under Section 65B of the Indian Evidence Act in support of the electronic records produced.
(viii) That apart from the aforesaid properties Respondent No.1 has not paid the property tax in relation to the other properties at Sl.No.(7)B(i)(a) to (j), Sl.No.(7)B(ii)(a), (b), (d), (e) and (f) and Sl.No.(7)B(iii)(c), (g) and (h) declared by him in Form 26 Affidavit.
Thus, referring to the aforesaid incidents it is contended that the non-disclosure and suppression of the details of his assets and liabilities amounted to corrupt practice.
8.14.2 Response: As regard to the allegations of non- disclosure of the statutory dues at Sl.No.8 in respect to properties declared at Sl.No.7 of the Form 26 Affidavit, it is contended that there is no suppression of facts. As there was no demand notice from the statutory authority there was no need to disclose the same in the Form 26 Affidavit.
8.14.3 Evidence: One Smt. Lakshmidevi R, Joint Commissioner, Revenue Department has been examined as PW.2 in support of the aforementioned allegations. The said witness has produced documents pertaining to assessment and payment of tax details of which are as under;
(i) Exs.P49 to P60 pertains to the self assessment of property tax for the period from 2018 - 2019 to 2023 - 93 2024 in respect of property No.28 of Bhattarahalli Grama, K.R Puram Hobli, Bangalore, and the certified copies of the tax paid receipts for the said period.
(ii) Exs.P61 to P72 pertains to the self assessment of property tax for the period from 2018 - 19 to 2023 - 24 in respect of property No. 48/2 Vignananagr, Kaggadasapura Main Road, Bangalore, and the certified copies of the tax paid receipts for this said period.
(iii) Exs.P73 to P84 pertain to the self assessment of property tax for the period from 2018 - 19 to 2023 - 24 in respect of property No.89/2 of Outer Ring Road, Munnekolalu, Marathahalli, Bangalore, and the certified copies of the tax paid receipts for this said period.
(iv) Exs.P85 to P96 pertain to the self assessment of property tax for the period from 2018 - 19 to 2023 - 24 in respect of property No.245 of 'A' Block, Devarabisanahalli, Marathahalli, Bangalore, and the certified copies of the tax paid receipts for this said period.
(v) Exs.P97 to P108 pertain to the self assessment of property tax for the period from 2018 - 19 to 2023 - 24 in respect of property No.43, Varthur Main Road , Munekolalu, Bangalore, and the certified copies of the tax paid receipts for this said period.
(vi) Exs.P109 to P120 pertain to the self assessment of property tax for the period from 2018-19 to 2023-24 in respect of property No.1 of Chowdeshwari Layout, 5th Main, Marathahalli, Bangalore, and the certified copies of the tax paid receipts for this said period.
(vii) In the cross-examination, Respondent No.1 has deposed at paragraph No.49 that except for the COVID- 19 pandemic period since there was no demand, he has paid the property tax in respect of all the properties only against the demand. He has denied the suggestion, that though there were property tax due and payable he has not disclosed the same in his Form 26 Affidavit at Ex.P4.
8.14.4 Discussion/Analysis: Learned Senior counsel for the petitioner submitted that in terms of sub-Section (8) of Section 144 and Section 48 of the Bruhat Bengaluru Mahanagara Palike Act, 2020 (for brevity 'BBMP Act, 2020') absence of demand does not mean there is no due. That property tax in a sum of Rs.1,09,04,478/- has been paid during August, 2023 and another sum of Rs.24,30,447/ has been made on 24.07.2024. That there is no whisper regarding payment of property tax being due or paid subsequently even in the written statement that was filed on 05.12.2023. Thus, the same amounts to false statement made in the Form 26 Affidavit wherein it is declared 95 liability towards property tax as 'Nil'. She refers to tabular column indicating actual due dates and payment of property tax made thereunder. Learned Senior counsel appearing for Respondent No.1 submits that issue of non payment of property tax in comparison to the overall assets held by Respondent No.1, his wife, and daughter would be insignificant. In any event, the Respondent No.1 has paid and discharged the said dues though belatedly. The non-payment of property tax was an inadvertent error committed by his employees and he had no intention of either suppressing or misleading as sought to be made out.
8.14.5 The chart prepared and submitted by the petitioner based on the evidence led by PW 2 and the documents produced at Exs.P49 to 120 is as under;


8.14.6 Chapter XIII of the BBMP Act, 2020 deals with Taxes. In that Section 144 provides for levy of Tax on buildings and land or both and the rates at which the same is leviable. Sub-Section (8) of Section 144 reads as under;
"(8) The person primarily liable to pay the property tax, shall pay the tax in two equal installments through demand draft or E-Payment. The first being before 30th May and second by 29th November of each financial year. However, the owner or occupier or person primarily liable to pay property tax may choose to pay in one installment:
Provided that if the owner or occupier who is liable to pay property tax files return and also pays property tax for the whole year, within one month from the date of commencement of each year he shall be allowed a rebate of five per cent on the tax payable by him:
Provided further that the Government may on the recommendation of the Corporation by notification extend the time limit for payment of property tax without penalty and for the benefit of Five percent rebate in respect of any financial year.
Provided also that subject to random scrutiny as may be prescribed, the tax return filed for the first time or the year in which g guideline value of property has been revised under section 45B of the Karnataka Stamp Act 1957 (Karnataka Act 34 of 1957) shall form the base for payment of tax applicable during each block year. "
8.14.7 Section 147 of the BBMP Act, 2020 providing for payment of property tax which reads as under;
"147. Payment of property tax.-
(1)The owner of the building or vacant land or both shall pay the tax either in one installment or in two equal installments, within such time periods as notified by the corporation from time to time.
(2) The corporation shall have the power to extend such notified time period under sub section (1) and waive such penalty payable due to delayed payment.
(3) Any person owner of the building or vacant land or both who is required to pay tax shall submit a self-assessed return, in such format as may be prescribed, within those time periods notified under sub section (1) to the Chief Commissioner or to such officer or agency authorized by him in this behalf.
(4) In order to facilitate the filing of return by an owner or occupier, the corporation shall issue such guidelines for the ease of calculation of the payable tax and the Chief Commissioner shall direct zonal commissioners of the corporation to establish such help centres within the zonal committee as may be necessary."
8.14.8 Section 148 (before its omission under the Act 17 of 2024 effective from 07.03.2024) reads as under;
"148. Demand for the payment of tax and recovery of taxes.-
(1) If the tax including the penalty payable under this chapter is not paid after it has become due, the Corporation may cause to be served upon the person liable for the payment of the same, a notice of demand in such form as may be prescribed.
(2) If a person seeks to appeal against the demand notice issued by the Chief Commissioner or any person authorized by him, such person may file an appeal before the Tribunal in such manner as may be prescribed.
(3) Any person seeking to file an appeal under sub-section (2) shall deposit fifty percent of the demanded amount with the Tribunal.
(4) If the person to whom a notice of demand has been served under sub section (1) does not pay the tax within thirty days from the service of such demand, in the absence of any stay issued by Tribunal or any court on the demand notice, the Chief Commissioner may recover by distraint under his warrant and sale of the such movable property of the defaulter or if the defaulter is the occupier of the building by distress and sale of any movable property which may be found in or on such building or land, the amount due on account of tax together with the warrant fee and distraint fee and with such further sums as will satisfy the probable charges, that will be incurred in connection with the detention and of the sale of property so distrained.
(5) If, for any reason the distraint, or a sufficient distraint of the defaulter's property cannot be effected, the Chief Commissioner may attach the bank account or the immovable property of the defaulter in such manner as may be prescribed, till the recovery of the property tax due. The Chief Commissioner may move the competent court to absolute the attachment order made by him. Further the Chief Commissioner may prosecute the defaulter before a competent Court.
8.14.9 Thus, the primary obligation of payment of property tax voluntarily without any demand is on the owner of the building or the vacant land as the case may be. The issue of notice would arise if the property tax including the penalty payable was not paid after it has become due. Unlike in case of the payment of other taxes such as GST or income Tax where there is always an element of fluctuation in income and expenditure, month after month and year after year which requires periodical assessment and determination, in the matter of property tax rates at which tax to be assessed is fixed and there is hardly any scope for periodical fluctuation. Therefore, the owner of the building or the vacant land is statutorily obligated to pay the tax whether or not there is any demand notice issued by the authorities. In fact by virtue of Act 17 of 2024 and even the provisions of Section 148 of BBMP Act, 2020, which provides for demand for payment of tax if not paid after it becomes due and for recovery of tax has now been deleted.
8.14.10 Also relevant to note that the property tax is the major source of income for the Statutory authority like Bruhat Bengaluru Mahanagara Palike which would be used ultimately for public good. In the words of the Apex Court as held in the case of SRIKANTH KASHINATH JITURI AND OTHERS Vs. CORPORATION OF CITY AT BELGAUM reported in (1994) 6 SCC 572 wherein dealing with basis of determination of rate of property tax at paragraph 11 the Apex Court has held as under;
"11. Before parting with this appeal, we feel compelled to express our doubts as to the soundness and continuing relevance of the view taken by this Court in several earlier decisions that the property tax must be determined on the basis of fair rent alone regardless of the actual rent received. Fair rent very often means the rent prevailing prior to 1950 with some minor modifications and additions. Property tax is the main source of revenue to the municipalities and municipal corporations. To compel these local bodies to levy and collect the property tax on the basis of fair rent alone, while asking them at the same time to perform all their obligatory and discretionary functions prescribed by the statute may be to ask for the impossible. The cost of maintaining and laying roads, drains and other amenities, the salaries of staff and wages of employees -- in short, all types of expenditure have gone up steeply over the last more than forty years. In such a situation, insistence upon levy of property tax on the basis of fair rent alone -- disregarding the actual rent received -- is neither justified nor practicable. None of the enactments says so expressly. The said principle has been evolved by courts by a process of interpretation. Probably a time has come when the said principle may have to be reviewed. In this case, however, this question does not arise at this stage and, therefore, it is not necessary to express a final opinion on the said issue."
8.14.11 Conclusion: Admittedly, property tax has not been paid in respect of the aforementioned properties owned by Respondent No.1, his wife and dependent daughter. Property tax due to the tune of Rs.1,09,04,478/- was paid during August, 2023 and Rs.24,30,447/- was paid on 24.07.2024. Payment of property tax voluntarily is a statutory obligation irrespective of issuance of demand notice. Without paying the property tax, declaration made on oath by Respondent No.1 in the Form 26 Affidavit that there being no municipal/property tax dues would undoubtedly amount to non-disclosure/ false declaration. Petitioner has proved this allegation and Respondent No.1 has thus failed to prove any compliance much less substantial compliance of this requirement. Issue Nos.1 and 3 are answered partly in the affirmative.
Regarding Issue No.2:
9. The petitioner having made the allegations as noted above has contended that false declaration and non-disclosure of assets and liabilities by the Respondent No.1 in Form 26 Affidavit amounts to corrupt practice as contemplated under sub-sections(1) and (2) of Section 123 of the R.P. Act, 1951, materially affecting the result of election.
9.1 For the purpose of this issue provisions of sub-Section (1) of Section 100 and Section 123 of the R.P. Act, 1951 are extracted hereunder for immediate reference:
100. Grounds for declaring election to be void.- [(1) Subject to the provisions of sub-section (2) of [the High court] is of opinion-
(a) that on the date of his election a returned candidate was not qualified, or was disqualified, to be chosen to fill the seat under the Constitution or this Act 5[***] [or the Government of Union Territories Act, 1963 (20 of 1963)]; or
(b) that any corrupt practice has been committed by a returned candidate or his election agent or by any other person with the consent of a returned candidate or his election agent; or
(c) that any nomination has been improperly rejected; or
(d) that the result of the election, in so far as it concerns a returned candidate, has been materially affected-
(i) by the improper acceptance or any nomination, or
(ii) by any corrupt practice committed in the interests of the returned candidate [by an agent other than his election agent), or
(iii) by the improper reception, refusal or rejection of any vote or the reception of any vote which is void, or
(iv) by any non-compliance with the provisions of the Constitution or of this Act or of any rules or orders made under this Act,
[the High Court] shall declare the election of the returned candidate to be void.]
"123. Corrupt practices.--The following shall be deemed to be corrupt practices for the purposes of this Act:--
(1)"Bribery", that is to say—
(A) any gift, offer or promise by a candidate or his agent or by any other person with the consent of a candidate or his election agent of any gratification, to any person whomsoever, with the object, directly or indirectly of inducing—
(a) a person to stand or not to stand as, or to withdraw or not to withdraw from being a candidate at an election, or
(b) an elector to vote or refrain from voting at an election, or as a reward to—
(i) a person for having so stood or not stood, or for having withdrawn or not having withdrawn his candidature; or
(ii) an elector for having voted or refrained from voting;
(B) the receipt of, or agreement to receive, any gratification, whether as a motive or a reward—
(a)by a person for standing or not standing as, or for withdrawing or not withdrawing from being, a candidate; or
(b)by any person whomsoever for himself or any other person for voting or refraining from voting, or inducing or attempting to induce any elector to vote or refrain from voting, or any candidate to withdraw ornot to withdraw his candidature.
Explanation.--For the purposes of this clause the term "gratification" is not restricted to pecuniary gratifications or gratifications estimable in money and it includes all forms of entertainment and all forms of employment for reward but it does not include the payment of any expenses bona fide incurred at, or for the purpose of, any election and duly entered in the account of election expenses referred to in section 78.
(2) Undue influence, that is to say, any direct or indirect interference or attempt to interfere on the part of the candidate or his agent, or of any other person with the consent of the candidate or his election agent, with the free exercise of any electoral right:
Provided that--(a)without prejudice to the generality of the provisions of this clause any such person as is referred to therein who—
(i)threatens any candidate or any elector, or any person in whom a candidate or an elector interested, with injury of any kind including social ostracism and ex-communication or expulsion from any caste or community; or
(ii) induces or attempts to induce a candidate or an elector to believe that he, or any person in whom he is interested, will become or will be rendered an object of divine displeasure or spiritual censure, shall be deemed to interfere with the free exercise of the electoral right of such candidate or elector within the meaning of this clause;
(b)a declaration of public policy, or a promise of public action, or the mere exercise of a legal right without intent to interfere with an electoral right, shall not be deemed to be interference within the meaning of this clause."
9.2 POSITION OF LAW:
It is necessary to advert to exposition of law by the Apex Court on this aspect of the matter which is as under:
9.2.1 Apex Court in the case of UNION OF INDIA Vs. ASSOCIATION FOR DEMOCRATIC REFORMS reported in (2002)5 SCC 295 has held that the voter's right to know antecedents including criminal past of a candidate to membership of Parliament or Legislative Assembly, is a fundamental right.
9.2.2 Essentiality of declaration of assets and liabilities of a candidate entering electoral contest has been explained by the Apex Court in the case of PEOPLES' UNION FOR CIVIL LIBERTIES (PUCL) Vs. UNION OF INDIA reported in (2003) 4 SCC 399 wherein at paragraph Nos.119 and 120 it has been held as under:
119. Disclosure of assets and liabilities is another thorny issue. If the right to information is to be meaningful and if it is to serve its avowed purpose, I am of the considered view that the candidate entering the electoral contest should be required to disclose the assets and liabilities (barring articles of household use). A Member of Parliament or State Legislature is an elected representative occupying high public office and at the same time, he is a "public servant" within the meaning of the Prevention of Corruption Act as ruled by this Court in the case of P.V. Narasimha Rao v. State [(1992) 3 SCC 637] . They are the repositories of public trust. They have public duties to perform. It is borne out by experience that by virtue of the office they hold there is a real potential for misuse. The public awareness of financial position of the candidate will go a long way in forming an opinion whether the candidate, after election to the office had amassed wealth either in his own name or in the name of family members viz. spouse and dependent children. At the time when the candidate seeks re-election, the citizens/voters can have a comparative idea of the assets before and after the election so as to assess whether the high public office had possibly been used for self-aggrandizement. Incidentally, the disclosure will serve as a check against misuse of power for making quick money, a malady which nobody can deny, has been pervading the political spectrum of our democratic nation. As regards liabilities, the disclosure will enable the voter to know, inter alia, whether the candidate has outstanding dues payable to public financial institutions or the Government. Such information has a relevant bearing on the antecedents and the propensities of the candidate in his dealings with public money. "Assets and liabilities" is one of the important aspects to which extensive reference has been made in Assn. for Democratic Reforms case [Ed.: See full text at 2003 Current Central Legislation, Pt. II, at p. 3] . The Court did consider it, after an elaborate discussion, as a vital piece of information as far as the voter is concerned. But, unfortunately, the observations made by this Court in this regard have a been given a short shrift by Parliament with little realization that they have a significant bearing on the right to get information from the contesting candidates and such information is necessary to give effect to the freedom of expression.
120. As regards the purpose of disclosure of assets and liabilities, I would like to make it clear that it is not meant to evaluate whether the candidate is financially sound or has sufficient money to spend in the election. Poor or rich are alike entitled to contest the election. Every citizen has equal accessibility in the public arena. If the information is meant to mobilize public opinion in favour of an affluent/financially sound candidate, the tenet of socialistic democracy and the concept of equality so firmly embedded in our Constitution will be distorted. I cannot also share the view that this information on assets would enable the public to verify whether unaccounted money played a part in contesting the election. So long as Explanation 1 to Section 77 of the RP Act, 1951 stands and the contributions can legitimately come from any source, it is not possible for a citizen/voter to cause a verification to be made on those lines. In my opinion, the real purposes of seeking information in regard to assets and liabilities are those which I adverted to in the preceding paragraph. It may serve other purposes also, but, I have confined myself to the relevancy of such disclosure vis-à-vis right to information only.
9.2.3 In the case of Lok Prahari (supra) dealing with aspect of declaration/ non -disclosure of assets and source of income amounting to "Undue Influence" - Corrupt Practice under Section 123(2) of the R.P. Act, 1951, the Hon'ble Apex Court at paragraph Nos.79 and 81 held as under:
79. We shall now deal with Prayer 2 [ Prayer 2 -- "declare that non-disclosure of assets and sources of income of self, spouse and dependants by a candidate would amount to undue influence and thereby, corruption and as such election of such a candidate can be declared null and void under Section 100(1)(b) of the 1951 RP Act in terms of the judgment reported in AIR 2015 SC 1921."] which seeks a declaration that non-disclosure of assets and sources of income would amount to "undue influence" -- a corrupt practice under Section 123(2) of the 1951 RP Act. In this behalf, heavy reliance is placed by the petitioner on a judgment of this Court in Krishnamoorthy v. Sivakumar [Krishnamoorthy v. Sivakumar, (2015) 3 SCC 467 : (2015) 2 SCC (Cri) 359 : AIR 2015 SC 1921] . It was a case arising under the Tamil Nadu Panchayats Act, 1994. A notification was issued by the State Election Commission stipulating that every candidate at an election to any panchayat is required to disclose information, inter alia, whether the candidate was accused in any pending criminal case of any offence punishable with imprisonment for two years or more and in which charges have been framed or cognizance has been taken by a court of law. In an election petition, it was alleged that there were certain criminal cases pending falling in the abovementioned categories but the said information was not disclosed by the returned candidate at the time of filing his nomination. One of the questions before this Court was whether such non-disclosure amounted to "undue influence" -- a corrupt practice under the Panchayats Act. It may be mentioned that the Panchayats Act simply adopted the definition of a corrupt practice as contained in Section 123 of the 1951 RP Act.
81. For the very same logic as adopted by this Court in Krishnamoorthy [Krishnamoorthy v. Sivakumar, (2015) 3 SCC 467 : (2015) 2 SCC (Cri) 359 : AIR 2015 SC 1921] , we are also of the opinion that the non-disclosure of assets and sources of income of the candidates and their associates would constitute a corrupt practice falling under heading "undue influence" as defined under Section 123(2) of the 1951 RP Act. We, therefore, allow Prayer 2.
9.2.4 In the case of S.Rukmini Madegowda (supra) at paragraph No.37, the Hon'ble Apex Court has held as under:
37. In our considered view, a false declaration with regard to the assets of a candidate, his/her spouse or dependants, constitutes corrupt practice irrespective of the impact of such a false declaration on the election of the candidate. It may be presumed that a false declaration impacts the election.
9.2.5 In the case of Karikho Kri (supra) at paragraph Nos.40 and 44, the Hon'ble Apex Court has held as under:
40. In Assn. for Democratic Reforms v. Union of India [Assn. for Democratic Reforms v. Union of India, (2024) 5 SCC 1 : (2024) 243 Comp Cas 115] , a Constitution Bench affirmed that, in terms of the earlier judgments in Assn. for Democratic Reforms [Assn. for Democratic Reforms v. Union of India, (2024) 5 SCC 1 : (2024) 243 Comp Cas 115] and People's Union for Civil Liberties (PUCL) v. Union of India [People's Union for Civil Liberties (PUCL) v. Union of India, (2003) 4 SCC 399] , the right of voters to information, which is traceable to Article 19(1)(a) of the Constitution, is built upon the jurisprudence that information which furthers democratic participation must be provided to citizens and voters have a right to information which would enable them to cast their votes rationally and intelligently because voting is one of the foremost forms of democratic participation. It was further observed that voters have a right to the disclosure of information which is "essential" for choosing the candidate for whom a vote should be cast.
44. The decision of this Court in Kisan Shankar Kathore [Kisan Shankar Kathore v. Arun Dattatray Sawant, (2014) 14 SCC 162] , also demonstrates this principle, as this Court undertook examination of several individual defects in the nomination of the returned candidate and found that some of them were actually insubstantial in character. This Court noted that two facets required consideration -- whether there is substantial compliance in disclosing requisite information in the affidavits filed along with the nomination and whether non-disclosure of information on identified aspects materially affected the result of the election. This Court observed, on facts, that non- disclosure of the electricity dues in that case was not a serious lapse, despite the fact that there were dues outstanding, as there was a bona fide dispute about the same. Similar was the observation in relation to non- disclosure of municipal dues, where there was a genuine dispute as to re-valuation and re-assessment for the purpose of tax assessment. Earlier, in Shambhu Prasad Sharma v. Charandas Mahant [Shambhu Prasad Sharma v. Charandas Mahant, (2012) 11 SCC 390] , this Court observed that the form of the nomination paper is not considered sacrosanct and what is to be seen is whether there is substantial compliance with the requirement as to form and every departure from the prescribed format cannot, therefore, be made a ground for the rejection of the nomination paper.
9.2.6 Adverting to the aforesaid position of law as enunciated and analyzing the same, the Hon'ble Apex Court in the case of Ajmera Shyam (supra) dealing with a challenge to election on the ground of non-disclosure of income as shown in the income tax return for four financial years out of the last five financial years in the Form 26 affidavit, at paragraph Nos.10.11, 10.12, 10.13, 10.34, 10.35 and at 11.1, 11.2, 11.3, 11.4 has held as under:
10.11 Section 36 (4) of the Act clearly states that the Returning Officer shall not reject any nomination paper on the basis of a defect that is not of a substantial character. Consequently, if the defect is not considered substantial, the nomination cannot be rejected, and acceptance of such nomination cannot be deemed improper to invoke the provisions of Section 100 (1)(d)(i) of the Act.
10.12 Applying the same legal standard, consequently, if such defect in not disclosing the assets or income is not of a substantial nature, it cannot be said to be a corrupt practice within the meaning of Section 100(1)(b) of the Act. 109 For the same reasons, the provisions of Section 100(1)(d)(iv) of the Act cannot be attracted, if the defect is not a material one.
10.13 Thus, in the present case, as we examine the issue as to whether non-disclosure of income as shown in the income tax return for four years amounts to non-compliance with the mandate of Rule 4A of the Rules, and if so, whether the acceptance of the nomination paper of Respondent No. 1 was improper to attract the provisions of Section 100(1)(d)(i), Section 100(1)(b), or Section 100(1)(d)(iv), it must first be ascertained whether such a defect of non-disclosure was of a substantial character under the circumstances. If it is so proved, it has to be then determined whether, this will attract adverse actions contemplated under Section 100, which the election petitioner, the Appellant herein, seeks to invoke.
10.34 We are, thus, of the view that merely because a returned candidate has not disclosed certain information related to the assets, courts should not rush to invalidate the election by adopting a highly pedantic and fastidious approach, unless it is shown that such concealment or non- disclosure was of such magnitude and substantial nature that it could have influenced the election result.
In this case, it has not been demonstrated that such concealment or non-disclosure of certain information related to assets was of a substantial nature that could have materially affected the result of the election of the returned candidate. Of course, it was observed by this Court in Lok Prahari (supra), S. Rukmini Madegowda (supra), etc., that if it is found that there has been non-disclosure of assets, it amounts to a corrupt practice. But the non-disclosure of income as per Income Tax Return in the present case, as discussed above, is not of a substantial nature to be considered a corrupt practice.
10.35 The true test, in our opinion, would be whether the non-disclosure of information about assets in any case is of consequential or inconsequential import, finding of which will be the basis for declaring the election valid or void as the case may be.
11. CONCLUSION
11.1 Judicial intervention in election disputes concerning disclosure of information, as discussed above, was prompted by the quest for sanitising the electoral process by 110 eliminating polluting elements by making candidates' criminal antecedents public. Aiming to prevent criminals from participating in elections to maintain purity of the electoral process -- essential for the proper functioning of parliamentary democracy -- the court was compelled to exercise its extraordinary power to issue specific directions. Consequently, not only disclosure of criminal antecedents, but also related obligations to disclose assets, liabilities, and educational qualifications of election candidates became mandatory. The knowledge of the criminal antecedents, assets and educational qualifications of the candidates by voters certainly invigorates the electoral process, which is ensured by obligatory disclosure by the candidate. However, the Court has made a subtle distinction between non-disclosure of criminal antecedents and that of assets and educational qualifications. While disclosure of criminal antecedents in the electoral process was the most critical element to maintain the purity of the electoral process which has to be scrupulously adhered to, disclosure of assets and educational qualifications were considered as attending supplementary requirements to strengthen the electoral process, of which there will be certain scope for consideration as to whether it is of substantial or inconsequential nature.
In the light of the above, this disclosure requirement as far as assets and educational qualification is concerned, should not be unreasonably stretched to invalidate an otherwise validly declared election over minor technical non-compliances that are not of substantial character, and should not be the basis for nullification of the people's mandate.
11.2 In the light of the legal position exposited, on examination of the facts in the peculiar background obtaining in the case, we hold that the non-disclosure of income in the income tax return for four financial years by Respondent No. 1, is not a defect of substantial character. Therefore, the nomination could not have been rejected under Section 36(2) of the Representation of the People Act, 1951 as contended by the Appellant and hence, no illegality was committed by the Returning Officer in accepting the nomination of the Respondent No. 1. Resultantly, the penal clause cannot be invoked to invalidate Respondent No. 1's election under Section 100(1)(d)(i) of the Act on the ground that the nomination of Respondent No. 1 was improperly accepted.
11.3 As we have held that the defect of non-disclosure mentioned is not of a substantial nature, for the same reason the Respondent No. 1 cannot be considered to have indulged in a corrupt practice within the meaning of Section 123 (2) of the Act, and thus, the election of Respondent No. 1 cannot be rendered void under Section 100(1)(b) of the Act.
11.4 Consequently, on the same consideration, it cannot be also said that the Respondent No. 1 did not comply with the relevant provisions of the Act or any rule or order made under the Act, to attract the provisions of Section 100(1)(d)(iv) of the Act.
(emphasis added)
9.3 The issue No.2 framed as above is required to be adverted and adjudicated in the light of aforesaid settled proposition of law.
9.4 On the analysis of the evidence led by the parties while answering issue Nos.1 and 3 this Court has come to the conclusion that there is non-compliance of the requirement of disclosure of sources of income and assets and liabilities as well as the false declaration in respect of the following four items:
(i) Non-disclosure of businesses and corresponding current account balance relating to Respondent No.1 and his wife: (refer paragraph Nos.8.2. to 8.2.17)
(ii) Non-disclosure of agricultural land in Sy.No.21 measuring 2 acres 22 guntas owned by Respondent No.1. (refer paragraph Nos.8.4 to 8.4.6)
iii) Non-disclosure of nature of land and their approximate market value: (refer paragraph Nos.8.4.17 to 8.4.24)
(iv) Declaration of Municipal/Property Tax dues pertaining to properties of the Respondent No.1, his wife and daughter as described at Clause (7)B(ii)(a to f) as "Nil" at Clause (8)8(vi). (refer paragraph Nos. and 8.14 to 8.14.11)
Discussion/Analysis:
9.4.1 Admittedly, Respondent No.1 has not disclosed his sources of income. He has neither disclosed the details of his following business entities/concern nor their corresponding current account balance details ;
(1) R and R Bar and Restaurant;
(2) Bhagini Residency;
(3) Srinivasa Wines;
(4) Bhagini Palace;
(5) Wholesale Liquor Proprietorship Concern.
9.4.2 Similarly, there is no disclosure with regard to business being run by his wife under the name and style of "Mini Bar and Restaurant", Baiyappanahalli as well as its current account balance, which is her source of income.
9.4.3 Though in the written statement it is contended that the bank account details given under Sl.No.(7)A(ii) and the investment details given under Sl.No.(7)A(iii) includes all the account balance details, no evidence is placed on record by the Respondent No.1 providing specific details of the aforesaid business entities /concerns. Similarly, no separate details are provided with regard to their corresponding Current accounts balance and the Savings Bank accounts balance.
9.4.4 When admittedly the main sources of income of the Respondent No.1 and his wife being the aforesaid hotel and liquor businesses (even as admitted by Respondent No.1 in his cross examination while answering question Nos. 8, 9, 10, 21, 22, 23 as extracted hereinabove). In the absence of any satisfactory explanation being given, it would be difficult to accept that there is a "substantial compliance" of the requirement of declaration/disclosure with regard to sources of income and current account balance pertaining to the businesses which are said to be the main source of income.
9.4.5 Similarly, respondent has not disclosed 2 acres and 22 guntas of land in Sy.No.21 owned by him. Though an explanation is offered that said extent of land forms part of deed of sale dated 09.03.2006, under which he purchased land in Sy.No.19 measuring 2 acres 32.5 guntas, and that due to oversight same is not mentioned, since even the approximate market value of the same is not declared as noted above, there is no substantial compliance.
9.4.6 Respondent No.1 has declared land bearing Sy.No.164, Kothakote Village, Bagepalli Taluk, measuring 1 acre 10 guntas owned by his daughter Amrita S, as agricultural land under Sl.No.(7)B(i)(b).
9.4.7 Similarly, he has declared land bearing Sy.Nos.173, 174, 138/2, 158/2, 172 and 157 Kothakote Village of Bagepalli Taluk measuring 10 acres and 10 guntas owned by the Respondent No.1 as agricultural land under Sl.No.(7)B(i)(j). The explanation offered by the Respondent No.1 for non-disclosure of nature of land as due to oversight and unintentional, and that there has been no non-agricultural activity being carried on in the aforesaid lands though they have been converted to commercial purposes, cannot be accepted, inasmuch as, aforesaid relevant Sl.Nos.(7)B(i)(b) and (7)B(i)(j) are meant for providing details of agricultural properties while Sl.No.(7)B(ii) is meant for providing details of non-agricultural properties. This cannot be a case of oversight. This also will have effect on the valuation of the properties as nature of land as non- agricultural/residential/commercial/industrially converted lands carry higher market value than the agricultural lands.
9.4.8 The reason for non-disclosure of nature of lands, in the light of Form 26 Affidavit providing specific columns thereof, cannot be countenanced merely on the say of the same being a bonafide mistake or oversight.
9.4.9 Section 45-B of the Karnataka Stamp Act, 1957 provides for constitution of Central Valuation Committee in terms of which Central Valuation Committee is the final authority for formulation of policy, methodology and administration of market value guidelines in the State which is also empowered to constitute Market Valuation Sub-Committees in each sub- Districts and Districts, for estimation and revision of Market Value Guidelines of the properties for the purpose of Section 45-A of the Act. Section 45-A of the Act provides the procedure to deal with undervalued instrument of conveyance. Relevant also to refer Section 2(mm) of Karnataka Stamp Act which defines "Market Value" to mean, in relation to any property, which is the subject-matter of an instrument, means the price which such property would have fetched, in the opinion of the Deputy Commissioner or the Appellate Authority or the Chief Controlling Revenue Authority, if sold in open market on the date of execution of such instrument or the consideration stated in the instrument, whichever is higher."
9.4.10 When the Form 26 Affidavit requires "Approximate Current Market Value" to be disclosed, it means market value for the purpose of buying and selling. Further mere statement that the declaration of the approximate current market value of the property as deemed fit by the Respondent No.1 without reference to nature of land and "Actual Current Market Value" on the test of property being put on sale, cannot be accepted to be a true declaration of the approximate current market value of the property. Though, reference to the Guidelines Value may not be the mandatory yardstick it cannot be ruled out that the same would lend acceptable basis to calculate "Approximate Current Market Value" particularly in the light of the term "market value" as defined under the Karnataka Stamp Act. The gap between approximate market value disclosed by the Respondent No.1 in his Form 26 Affidavit and the market value of the property shown in the Guidelines Value issued by the State appears to be substantial.
9.4.11 As per the deposition of PW2 undisputedly Respondent No.1 had not paid the property tax. There is no explanation of any nature whatsoever either with regard to any pending bonafide disputes pertaining to assessment/reassessment of the value and payment of tax, which was the issue in the case of KISAN SHANKAR KATHORE Vs. ARUN DATTATRAY SAWANT AND OTHERS reported in (2014) 14 SCC 162.
9.4.12 Property tax due to the tune of Rs.1,09,04,478/- was paid during August, 2023 and Rs.24,30,447/- was paid on 24.07.2024.
Conclusion:
9.5 ''False statement or a false declaration, that too made on oath, inherently carries with it corrupt, deceitful, dishonest and fraudulent intent, which once proved, neither requires further probe of its innocence nor the need of testing the same through the lens of substantiality.''
9.5.1 Merely because Respondent No.1 owns and possesses assets worth several hundred crores cannot be the reason to condone or exempt the mandatory requirement of true and full disclosure of information/details enlisted above. His possessing huge amount of wealth cannot be the reason to accept the contention of "substantial compliance" merely because the value of undisclosed assets and the outstanding amount due to the Government are comparatively less or insignificant. When the value of undisclosed assets and the value of outstanding amount due to the Government are viewed specifically and individually they indeed form a substantially huge amounts. They do not remain a mere technicality.
9.5.2 It is one thing to say that for a candidate like Respondent No.1 who owns assets worth several hundred crores, dues of this nature are insignificant. But it is another thing to view the seriousness of the false declaration, declaring dues as 'NIL' by a candidate who is going to occupy high public office for the third time. It is in this perspective, a declaration of municipal property tax dues to be nil when indeed they are due and liable to be paid, which impacts the election process.
9.5.3 When admittedly the Respondent No.1 has not disclosed the sources of income, details of the businesses being run by him and his wife as noted above, and has also failed to disclose lands owned by him and their nature, and when he has falsely declared of he not being liable to pay any dues specifically towards the property tax as noted above, the same would amount to ''corrupt practice'', amounting to ''undue influence'' falling within the ambit of sub-Section(2) of Section 123 and would form a ground for declaring his election void under clause (b) of sub-Section of (1) of Section 100 of R.P. Act, 1951.
9.5.4 Requirement of filing an affidavit duly filled with all true particulars on oath is another mandatory requirement contemplated under Section 100 (1)(d)(iv) read with Rule 4A of the Conduct of Election Rules, 1961. Since the Respondent No.1 as found above has not only made a false declaration but has also failed to disclose the required information which will have to be construed as non-compliance with the mandatory requirement of Rule 4A of the Conduct of Election Rules, 1961, eventually attracting the consequences contemplated under Section 100(1)(d)(iv) of the R.P. Act, 1951. Rule 4A of the Conduct of Election Rules, 1961, reads as under:
4A. Form of affidavit to be filed at the time of delivering nomination paper.--The candidate or his proposer, as the case may be, shall, at the time of delivering to the Returning Officer the nomination paper under sub-section (1) of section 33 of the Act, also deliver to him an affidavit sworn by the candidate before a Magistrate of the first class or a Notary in Form 26.
9.5.5 Clearly, non-disclosure of source of income, false declaration of nature of lands and their valuation as noted above and false declaration of there being 'NIL' dues towards property tax, are of substantial character and same cannot be overlooked merely, as contended by the Respondent No.1 to be due to oversight or bonafide mistake, when obtaining such informations has been recognised to be the fundamental right of the voter guaranteed under Article 19(1)(a) of the Constitution of India.
9.5.6 Thus on the aforesaid four counts, the petitioner has indeed proved non-disclosure and false declaration of information regarding sources of income, assets and liabilities, a ''corrupt practice'' falling within the purview of sub-section (2) of Section 123 of the R.P. Act, 1951, amounting to ''undue influence'' irrespective of impact of such non disclosure and false declaration on the election of the candidate, as held by Apex Court in the case of Lok Prahari and S.Rukmini Madegowda (supra).
9.5.7 Therefore, the contention of learned Senior counsel appearing for respondent No.1, that the petitioner is required to plead and prove the ''direct'' or ''indirect'' ''interference'' or ''attempt to interfere'' with free exercise of electoral rights cannot be accepted.
Regarding Issue No.4:
10. The above discussion, findings and conclusion takes this Court to the consideration of issue No.4 for grant of prayers as sought for in the petition.
10.1 The first prayer is to set-aside of the election of Respondent No.1 to the 16th Karnataka Legislative Assembly 122 from 140-Bagepalli Assembly Constituency. In the light of discussion and the conclusion arrived at while dealing with issue No.2, this Court has held that non disclosure and false declaration of information regarding sources of income of the respondent No.1 and his wife as well as assets and liabilities fall within the ambit of sub-Section (2) of Section 123 and the same is the ground for declaring the election to be void under sub-Section (1)(b) of 100 of the R.P. Act, 1951.
10.2 The second prayer sought for is to declare the petitioner as duly elected candidate to fill the seat of 16th Karnataka Legislative Assembly from 140-Bagepalli Assembly Constituency.
10.3 Learned Senior counsel for the petitioner relying upon the Section 101 of the R.P. Act, 1951, contended that since the Respondent No.1 being the returned candidate has obtained votes by corrupt practice, petitioner being the candidate who has received next majority of valid votes, he be declared as duly elected candidate. In support of this submission, learned Senior counsel appearing for the petitioner relied upon the judgment of the Hon'ble Apex Court in the case of VISHWANATHA REDDY VS. KONAPPA RUDRAPPA 123 NADGOUDA AND OTHERS reported in 1968 SCC Online20, wherein at paragraph No.13 it has held as under:
13. The view that we are taking is consistent with the implication of CI. (b) of Section 101. When in an election petition which complies with Section 84 of the Act it is found at the hearing that some votes were obtained by the returned candidate by corrupt practices, the Court is bound to declare the petitioner or another candidate elected if, but for the votes obtained by the returned candidate by corrupt practice, such candidate would have obtained a majority of votes. In cases falling under Clause (b) of Section 101 the Act requires merely proof of corrupt practice and obtaining votes by corrupt practice : it does not require proof that the voters whose votes are secured by corrupt practice had notice of the corrupt practice. If for the application of the rule contained in Clause (b) notice to the voters is not a condition precedent, we see no reason why it should be insisted upon in all cases under Clause (a). The votes obtained by corrupt practice by the returned candidate, proved to be guilty of corrupt practice, are expressly excluded in the computation of total votes for ascertaining whether a majority of votes had been obtained by the defeated candidate and no fresh poll is necessary. The same rule should, in our judgment, apply when at an election there are only two candidates and the returned candidate is found to be under a statutory disqualification existing at the date of the filling of the nomination paper."
10.4 She also relied upon the judgment of the Hon'ble Apex Court in the case of SYEDA NOOR FATIMA ZAIDI Vs. HEENA UROOZ AND OTHERS reported in 2024 SCC OnLine SC 4104 referring to paragraph No.21 which reads as under:
'' 21. Section 37(2)(b) of the Act does provide for declaring the person having the second highest number of votes, if the same be a majority of the valid votes without counting the votes secured by the originally returned candidate. The position in law holding the field thus far, seems to be to declare a candidate elected on the disqualification of another, only if there were two candidates in fray and not where candidates are more than two. Reference can be made to the 5-Judge Bench 124 decision in Vishwanatha Reddy v. Konappa Rudrappa Nadgouda, AIR 1969 SC 6046. As is vivid from the paragraph cited infra, the Court did not lay down a blanket principle that one candidate could be declared returned on the other's disqualification only if there were two candidates in total, and in no other scenario. The Court clearly suggested that in an election with more than two candidates in the fray, notice to the voters 'may assume significance', and the candidate with the next highest number of votes would not be declared elected as a sequitur to the disqualification of the original returned candidate. It is apparent from the exposition of the law that the the course of action in elections with more than two candidates and the returned candidate being disqualified, would turn on the phrase 'may'. In Prakash Khandre v. Dr. Vijay Kumar Khandre, (2002) 5 SCC 568, a 3-Judge Bench, while following the dicta in Vishwanatha Reddy (supra), cautioned that 'for one seat, there were five candidates and it would be impossible to predict or guess in whose favour the voters would have voted if they were aware that the elected candidate was disqualified to contest election or if he was not permitted to contest the election by rejecting his nomination paper on the ground of disqualification to contest the election and what would have been the voting pattern.'7 This was reiterated recently by 3 learned Judges in Muniraju Gowda P M v. Munirathna, (2020) 10 SCC 192.''
10.5 Referring to the above, she emphatically submitted that as per the latest judgment of the Hon'ble Apex Court in the case of Syeda Noor Fatima (supra), the course of action hitherto available to declare the candidate with next highest number of votes to be available only under the circumstances, if there were two candidates in total and no other scenario as held in Vishwanatha Reddy (supra) case, need not be applied as a blanket principle. She emphatically submitted that in the light of language employed under Section 101 of the R.P. Act, 1951, the petitioner being the next candidate who obtained the highest valid votes is the only choice to be declared by strictly applying the provisions of said section as there is no scope for equitable consideration of the matter.
10.6 Per contra, learned Senior counsel for the Respondent No.1 referring to the very same paragraph No.13 of the judgment in the case of Vishwanatha Reddy (supra) insists that declaration of candidate obtaining next highest votes as elected could apply only in the scenario when there is only two candidates in respect of a single seat. He further refers to the judgment of the Hon'ble Apex Court in the case of VATAL NAGARAJ Vs. R. DAYANAND SAGAR reported 1975 4 SCC 127 wherein at paragraph Nos.29 to 32, the Hon'ble Apex Court held as under:
'' 29. The only bitter bone of contention between the parties which survives is covered by Issue 11. The sanctity of the poll verdict will stand violated if the tribunal, without the strictest compulsion of statutory provisions, substitutes for an elected representative a court-picked candidate. The relevant part of Section 101 may well be set out at this stage:
"101. Grounds for which a candidate other than the returned candidate may be declared to have been elected.-- If any person who has lodged a petition has, in addition to calling in question the election of the returned candidate, claimed a declaration that he himself or any other candidate has been duly elected and the High Court is of opinion
(b) that but for the votes obtained by the returned candidate by corrupt practices the petitioner or such other candidate would have obtained a majority of the valid votes,
the High Court shall after declaring the election of the returned candidate to be void declare the petitioner or such other candidate, as the case may be, to have been duly elected."
The insistent requirements of the section are that firstly the returned candidate must have obtained votes by the operation of corrupt practices; secondly, such tainted votes must be quantified with judicial assurance and thirdly, after deduction of such void votes, the petitioner or other candidate must be shown to have secured a majority of the valid votes. In the present case, the decisive factor is the satisfactory proof of the number of votes, if any, attracted by the appellant into his ballot box by the corrupt means. How many voters were lured for certain by the expenditure of several thousand rupees more than is sanctioned by the law? Did the campaigning in those hired cars snatch votes at all? Did deleterious leaflets draw into Nagaraj's net a specific set of voters? To capsule the enquiry, how many votes were definitely obtained by the use of each corrupt practice? This hinges not on mystic maybes and vague imponderables and prejudice to prospects but on tangible testimony that a number of persons, arithmetically assessed, swung towards and probably voted actually for the returned candidate, directly magnetised by the corrupt practice, so that one could positively predicate those votes as having been obtained ... by corrupt practices. This clear nexus is of critical importance. Happy speculation, hypothetical possibility and clairvoyant surmise, however imaginatively and objectively made, cannot displace this drastic requirement. Where, for instance, a certain number of persons, in violation of the legal ban, have been transported by the candidate and they have been shown, with fair assurance, to have cast their votes in his favour or where specific cases of false personation or double voting at the instance of the candidate or his agents had occurred and the margin of difference between the victor and the nearest vanquished is narrow and the gap is more than made up by the illegally procured votes, the case for the application of Section 101 will surely arise. Courts do not elect candidates or sign into Parliamentary seats those whom the constituency has not yet favoured. The normal democratic process cannot be bypassed conveniently on the score of corrupt practices by the rival except in those exceptional cases where Section 101 stands fulfilled. You must win not only an election petition but an election itself.
30. The decisions cited before us by Shri A.K. Sen do not take us further. Indeed there is a paucity of precedents in this area, for reasons which are not difficult to guess. In T. Nagappa v. T.C. Basappa [AIR 1955 SC 756 : 11 ELR 203] this Court had to deal with a case where the lead of the winner was only 34 votes, there was cogent proof of about 60 voters having been transported by the offending candidates to the polling booth of whom 47 voted for him so that, if their votes were struck out, the margin of difference would disappear and the loser would have secured the larger number of valid votes. There the learned Judges were at pains to point out that the petitioner got only 34 votes less than the Respondent and that the Tribunal (by a majority) had found that the bus procured by Respondent 1 did carry to the polling booths about 60 voters, leading to the legitimate presumption that the majority of them did vote for Respondent 1. Under these circumstances, the Court did not care to interfere with the Tribunal's factual view that if the votes attributable to the corrupt practice were left out of account, the petitioner would have gained an undisputed majority. In that very case while pointing out that the High Court should not have upset a finding of fact of the Tribunal, this Court cautiously added that "it may be that the view taken by the dissenting member of the Tribunal was the more proper". Apparently, the dissenting member was not inclined to upset the poll verdict even on this evidence. Where there are a number of serious candidates contesting from a constituency, the situation becomes complex and unpredictable. It is convenient assumption, not reasoned probability, to guess for whom, if at all, the voters of the winner who used corrupt practices would have alternatively cast their franchise. Sheer disenchantment with the vicious techniques might well have turned away many sensitive souls from the polling station. In the appeal before us the lead is over a thousand votes, no link between the polluted practice and the voters affected is forged, ten candidates were in the field and some of them had polled well. The observations of this Court in Jamuna Prasad case [Jamuna Prasad v. Lachhi Ram, AIR 1954 SC 686, 689 : (1955) 1 SCR 608] that "there is nothing to show why the majority of the first Respondent's voters would have preferred the sixth Respondent and ignored the third and fourth Respondents" underscores the hazard in such multiple-contest situations. Shri A.K. Sen's persuasive invitation to compute on imperfect data is to ask us to crystal-gaze. We decline the essay in the occult.
31. In the present case the reasoning of the trial court dealing with this branch is not brief but a blank. All that the Court has said is that the difference is only 1044 votes between the appellant and the Respondent and that a reasonable judicial guess is not taboo: "Therefore it can be reasonably concluded as per clause (b) of Section 101 of the A.P. Act that but for the votes obtained by the returned candidate (first Respondent) by corrupt practices, the petitioner would have obtained a majority of the valid votes." We are sorry the sequitur is too obscure for us to see. There were ten candidates in the field and the curious plea bearing on this relief in the election petition appears to be that the petitioner has done social service and deserved victory and so there was no need to send him back to the constituency to seek a re-election -- strange compliance with Section 101 of the Act Indeed, the petitioner, himself a barrister and a former Deputy Minister, conversant with the requirements of election law knows that where a claim for a declaration in his favour is put forward at least formal averments tacking the corrupt practice onto obtaining of definite votes was necessary. On the other hand, all that he states is that as a result of the hate campaign against the Muslims and the Tamils, alleged to have been carried on by the appellant and his agents,
"the Tamil-speaking people thought that it would be to their advantage to support the D.M.K. candidate and the Muslim population thought that they would be protected only if the Muslim League candidate was returned to the election".
Therefore what? After adding that these two candidates had secured a large number of votes from the Tamils and the Muslims, the petition makes a puzzling statement:
"These votes would have been polled by the petitioner and the Congress Party but for the corrupt practices under Section 123 committed by the first Respondent, his election agent and the agents of the first Respondent ...."
The abstruse logic, the bare assertion and the total absence of a tie-up between specific corrupt practices and the number of votes obtained thereby lead us to an outright rejection of the relief, not merely for want of proper averments but also for a total void in proof. Absent visible welding of the electoral vice established into the numerical measure of the victory, the votes at the polls alone, not the writ of the Court, can seat him in the legislature. We have no hesitation in reversing the finding on Issue 11.
32. The conclusion therefore is that the appellant's election is set aside and the constituency has to choose its representative by a fresh poll. It must be noted that half the term has already run out since the election which we now set aside. Having regard to the democratic process and the duty not to keep Chamarajpet orphaned in the legislature, we expect the Chief Election Commissioner to proceed expeditiously to hold a fresh election.''
10.7 He also relies upon the judgment of the Hon'ble Apex Court in the case of PRAKASH KANDRE Vs. DR.VIJAYAKUMAR KANDRE AND OTHERS reported in (2002) 5 SCC 568 wherein at paragraph Nos.8 to 24 it has held as under:
Re: Question 1
8. At the time of hearing of these appeals, learned Senior Counsel Mr Ashok Desai submitted that the order passed by the High Court declaring election petitioner Dr Vijay Kumar Khandre as elected is, on the face of it, illegal and erroneous as election was contested by 5 candidates and in support of his submission, he referred to various decisions rendered by this Court. As against this, Mr K.N. Bhat, learned Senior Counsel for Respondent 1 submitted that the High Court rightly declared Dr Vijay Kumar Khandre as elected and the decision of the High Court is based on the provisions of Section 101 of the Act.
9. For appreciating the aforesaid submissions, we would first refer to the relevant provisions of the Act, namely, Sections 53, 84 and 101 of the Act which are as under:
"53. Procedure in contested and uncontested elections.--(1) If the number of contesting candidates is more than the number of seats to be filled, a poll shall be taken.
(2) If the number of such candidates is equal to the number of seats to be filled, the Returning Officer shall forthwith declare all such candidates to be duly elected to fill those seats.
(3) If the number of such candidates is less than the number of seats to be filled, the Returning Officer shall forthwith declare all such candidates to be elected and the Election Commission shall, by notification in the Official Gazette call upon the constituency or the elected members or the members of the State Legislative Assembly or the members of the 130 electoral college concerned as the case may be, to elect a person or persons to fill the remaining seat or seats:
Provided that where the constituency or the elected members or the members of the State Legislative Assembly or the members of the electoral college having already been called upon under this sub-section, has or have failed to elect a person or the requisite number of persons, as the case may be, to fill the vacancy or vacancies, the Election Commission shall not be bound to call again upon the constituency, or such members to elect a person or persons until it is satisfied that if called upon again, there will be no such failure on the part of the constituency of such members.
84. Relief that may be claimed by the petitioner.--A petitioner may, in addition to claiming a declaration that the election of all or any of the returned candidates is void, claim a further declaration that he himself or any other candidate has been duly elected.
101. Grounds for which a candidate other than the returned candidate may be declared to have been elected.--If any person who has lodged a petition has, in addition to calling in question the election of the returned candidate, claimed a declaration that he himself or any other candidate has been duly elected and the High Court is of opinion—
(a) that in fact the petitioner or such other candidate received a majority of the valid votes; or
(b) that but for the votes obtained by the returned candidate by corrupt practices the petitioner or such other candidate would have obtained a majority of the valid votes,
the High Court shall after declaring the election of the returned candidate to be void declare the petitioner or such other candidate, as the case may be, to have been duly elected."
10. From a reading of sub-section (2) of Section 53, it is clear that if the number of candidates is equal to the number of seats to be filled, the Returning Officer has to declare all such candidates to be duly elected to fill those seats, meaning thereby it would be an uncontested election. Further, if the number of contesting candidates is more than the number of seats to be filled, a poll is required to be taken. Finally, after taking poll, if one candidate is declared elected and there are only two candidates who contested for the election, and if it is found that the elected candidate was disqualified for one or the other reason for being declared to be elected then his election would be set aside and the unsuccessful candidate, if otherwise eligible, could be declared as elected and that relief could be granted in view of Section 53 read with Section 84 of the Act.
11. However, the question which requires consideration is -- if there are more than two candidates for one seat and the elected candidate is subsequently found to be disqualified, whether the candidate who has secured more votes than the remaining candidates should be declared as elected or not. For this, we would consider the ingredients of Section 101 which inter alia provide that after declaring election of the returned candidate to be void, the High Court may declare the petitioner or such other candidate to have been duly elected if—
(a) in fact the petitioner or such other candidate received a majority of valid votes; or
(b) but for the votes obtained by the returned candidate by corrupt practices, the petitioner or such other candidate would have obtained a majority of the valid votes.
12. Therefore, the first ingredient for declaring the election petitioner or other candidate to have been duly elected depends upon error for various reasons in counting of valid votes and if it is found that in fact the petitioner or such other candidate received a majority of valid votes, he is to be declared elected.
13. The second ingredient provides for establishing that the votes obtained by the returned candidate were obtained by corrupt practices and but for such votes the petitioner or such other candidate would have obtained a majority of valid votes. Say as in the present case, the difference between the elected candidate and the election petitioner is of 10,327 votes and if it is established that the elected candidate obtained more than 10,327 votes by corrupt practices then the petitioner or such other candidate who has obtained majority of valid votes could be declared as elected.
14. However, in an election where the elected candidate is declared to be disqualified to contest election and there are more than two candidates contesting election, there is no specific provision under the Act under which the person who has secured the next highest number of votes could be declared as elected. The Act is silent on this point. Further, it cannot be presumed that the votes secured by the disqualified elected candidates would have been wasted or would have been secured by the next candidate who has secured more votes. If disqualified candidate was not permitted to contest the election then how the voters would have voted in favour of the candidate who has secured more votes than the other remaining candidates would be a question in the realm of speculation and unpredictability. In such a situation, declaring the election of the returned candidate on the ground of his initial disqualification to contest the election by itself would not entitle the election petitioner or any other candidate to be declared elected.
15. The learned counsel for the parties referred to various decisions rendered by this Court and we would refer to them in chronological order. The Constitution Bench of this Court in Konappa Rudrappa Nadgouda v. Vishwanath Reddy [(1969) 2 SCR 90 : AIR 1969 SC 604 sub nom Vishwanatha Reddy v. Konappa Rudrappa Nadgouda] dealt with the case where one Vishwanath Reddy was declared elected to Mysore Legislative Assembly and that election was challenged by Nadgouda who was a contesting candidate on the ground that Reddy was disqualified from standing as a candidate for election. This Court by order dated 19-7-1968 held that election of Reddy was void and that votes cast in his favour be treated as thrown away. The Court held "as there was no other contesting candidate, we declare the appellant (election petitioner) as elected to the seat from Yadgiri Constituency". That order was challenged by filing a review application which was granted and question whether it was open to the Court on finding recorded about disqualification of Reddy to declare Nadgouda as duly elected to Mysore Legislative Assembly was dealt with and decided. The Court referred to an earlier decision in Keshav Lakshman Borkar v. Dr Deorao Lakshman Anande [AIR 1960 SC 131 : (1960) 1 SCR 902] wherein it was held that a candidate whose nomination paper is accepted after scrutiny, is a validly nominated candidate "at least for the purpose of receiving votes at the election", and that the candidate must be treated as a person for whom votes could be given. The Court on that view held that where there are only two candidates for a seat and the election of the candidate declared elected is set aside on the ground that he was disqualified, the defeated candidate cannot be declared elected, and there must be a fresh election. In the opinion of the Court the votes cast in favour of the disqualified candidate cannot be said to be thrown away unless there is a "special pleading" that certain voters had cast their votes with the knowledge or notice that the candidate for whom they had voted was not eligible for election, and they had deliberately thrown away their votes in favour of the disqualified person; in the absence of such a plea it cannot be said that the votes cast in favour of a person who was by law disqualified from being nominated, but who was in fact nominated, were thrown away. In the opinion of the Court, a defeated candidate out of the two who contested the election may be declared elected under Section 84 read with Section 101 of the Act, if he proves that the voters had notice of the disqualification of the successful candidate.
16. The correctness of the said view was challenged before the Constitution Bench. The Court considered various English decisions cited at the Bar and observed that the cases decided by the courts in the United Kingdom appear to have proceeded upon some general rule of election law that the votes cast in favour of a person who is found disqualified for election may be regarded as thrown away only if the voters had notice before the poll of the disqualification of the candidate. Thereafter, the Court pertinently observed but in our judgment the rule which has prevailed in the British courts for a long time has no application in our country. The rule enunciated in U.K. has only the merit of antiquity; the rule cannot be extended to the trial of disputes under our election law, for it is not consistent with our statute law, and in any case the conditions prevailing in our country do not justify the application of that rule. The Court also considered Section 53 of the Act and held that it renders a poll necessary only if there are more candidates contesting the election than the number of seats contested and if the number of candidates validly nominated is equal to the seats to be filled, no poll is necessary and where by an erroneous order of the Returning Officer poll is held which, but for that order, was not necessary, the court would be justified in declaring those contesting candidates elected, who, but for the order, would have been declared elected.
17. Thereafter, the Court observed thus: (AIR p. 608, para 12)
"When there are only two contesting candidates, and one of them is under a statutory disqualification, votes cast in favour of the disqualified candidate may be regarded as thrown away, irrespective of whether the voters who voted for him were aware of the disqualification. This is not to say that where there are more than two candidates in the field for a single seat, and one alone is disqualified, on proof of disqualification all the votes cast in his favour will be discarded and the candidate securing the next highest number of votes will be declared elected. In such a case, question of notice to the voters may assume significance, for the voters may not, if 134 aware of the disqualification have voted for the disqualified candidate."
18. The Court also considered Section 101 and held as under: (AIR pp. 608-09, para 13)
"The votes obtained by corrupt practice by the returned candidate, proved to be guilty of corrupt practice, are expressly excluded in the computation of total votes for ascertaining whether a majority of votes had been obtained by the defeated candidate and no fresh poll is necessary. The same rule should, in our judgment, apply when at an election there are only two candidates and the returned candidate is found to be under a statutory disqualification existing at the date of the filing of the nomination paper."
19. In Thiru John v. Returning Officer [(1977) 3 SCC 540 : (1977) 3 SCR 538] the Court dealt with the biennial election to the Rajya Sabha from the State of Tamil Nadu where the voting pattern is single transferable vote wherein the elected candidate Shri John was found by the Court to be statutorily disqualified for election. The Court considered the question whether the votes secured by such candidate be regarded as "thrown away" and in consequence the next candidate be declared elected. In that context the Court observed: (SCC p. 555, para 55)
"55. Again, the answer to this question, in our opinion, must be in the negative. It is nobody's case that the electors who voted for Shri John, had at the time of election, knowledge or notice of the statutory disqualification of this candidate. On the contrary, they must have been under the impression that Shri John was a candidate whose nomination had been validly accepted by the Returning Officer. Had the electors notice of Shri John's disqualification, how many of them would have voted for him and how many for the other continuing candidates, including Sarvshri Subrahmanyam and Mohana Rangam, and in what preferential order, remains a question in the realm of speculation and unpredictability."
20. The Court also referred to the following observations made by Hidayatullah, C.J. speaking for the Court in R.M. Seshadri v. G. Vasantha Pai [(1969) 1 SCC 27] rejecting similar contention: (SCC p. 37)
"This (question) will depend on our reaching the conclusion that but for the fact that voters were brought through this corrupt practice to the polling booths, the result of the election had been materially affected. In a single transferable vote, it is 135 very difficult to say how the voting would have gone, because if all the votes which Seshadri had got, had gone to one of the other candidates who got eliminated at the earlier counts, those candidates would have won. We cannot order a re-count because those voters were not free from complicity. It would be speculating to decide how many of the voters were brought to the polling booths in car. We think that we are not in a position to declare Vasantha Pai as elected, because that would be merely a guess or surmise as to the nature of the voting which would have taken place if this corrupt practice had not been perpetrated."
And, thereafter the Court held as under: (SCC pp. 555-56, para 58)
"58. The position in the instant case is no better. It is extremely difficult, if not impossible, to predicate what the voting pattern would have been if the electors knew at the time of election, that Shri John was not qualified to contest the election. In any case, Shri Subrahmanyam was neither the sole continuing candidate, nor had he secured the requisite quota of votes. He cannot, therefore, be declared elected."
21. The Court also considered the dictum in the case of Vishwanath [(1969) 2 SCR 90 : AIR 1969 SC 604 sub nom Vishwanatha Reddy v. Konappa Rudrappa Nadgouda] and observed that the ratio decidendi of the said case is applicable only where (a) there are two contesting candidates and one of them is disqualified; and (b) the election is on the basis of single non-transferable vote.
22. Again in Lata Devi (Mali) v. Haru Rajwar [(1989) 4 SCC 773] this Court dealt with the same question and observed as under: (SCC p. 780, para 16)
"It is to be noted that in an election petition what is called in question is the election and what is claimed is that the election of all or any of the returned candidates is void, with or without a further declaration that the election petitioner himself or any other candidate had been duly elected. Declaring the election of the returned candidate void does not, by itself, entitle the election petitioner or any other candidate to be declared elected."
23. Learned counsel for the appellant lastly referred to the decision in D.K. Sharma v. Ram Sharan Yadav [1993 Supp (2) SCC 117] . In that case, the High Court referred to the decision in Konappa Rudrappa Nadgouda [(1969) 2 SCR 90 : AIR 1969 SC 604 sub nom Vishwanatha Reddy v. Konappa 136 Rudrappa Nadgouda] and held that on the basis of the oral evidence, it was not possible to hold that the voters who cast their votes in favour of the elected candidate did so after having noticed about the disqualification and knowing that their votes would be wasted and therefore, the second prayer of the election petitioner to declare him as duly elected after throwing away the votes of the elected candidate, was not allowed. This Court did not find any infirmity in the said reasoning and, therefore, dismissed the appeal.
24. In view of the aforesaid settled legal position, in our view, the impugned order passed by the High Court declaring the election petitioner as elected on the ground that the votes cast in favour of the elected candidate (appellant) are thrown away was totally erroneous and cannot be justified. As held by the Constitution Bench in Konappa case [(1969) 2 SCR 90 : AIR 1969 SC 604 sub nom Vishwanatha Reddy v. Konappa Rudrappa Nadgouda] that some general rule of election law prevailing in the United Kingdom that the votes cast in favour of a person who is found disqualified for election may be regarded as "thrown away" only if the voters had noticed before the poll the disqualification of the candidate, has no application in our country and has only merit of antiquity. We would observe that the question of sending such notice to all voters appears to us alien to the Act and the Rules. But that question is not required to be dealt with in this matter. As stated earlier, in the present case, for one seat, there were five candidates and it would be impossible to predict or guess in whose favour the voters would have voted if they were aware that the elected candidate was disqualified to contest election or if he was not permitted to contest the election by rejecting his nomination paper on the ground of disqualification to contest the election and what would have been the voting pattern. Therefore, order passed by the High Court declaring the election petitioner Dr Vijay Kumar Khandre as elected requires to be set aside."
10.8 He also relies upon the judgment of the Hon'ble Apex Court in the case of MUNIRAJU GOWDA P.M Vs. MUNIRATHNA AND OTHERS reported in (2020) 10 SCC 192, at paragraph Nos.13 to 22 of its judgment has held as under:
13. But there is something that stares at the face. It appears that when the results were announced, the petitioner was declared to have secured 82,572 votes, while the first Respondent was declared to have secured 1,08,064 votes. Therefore, in terms of Section 101 of the Representation of the People Act, 1951 (for short "the Act") the election petitioner should satisfy:
(i) that he received a majority of the valid votes; or
(ii) that but for the votes obtained by the returned candidate by corrupt practices, he would have obtained a majority of the valid votes.
14. As observed by the High Court, pleadings necessary for the High Court to form an opinion in terms of clause (a) or clause (b) of Section 101 of the Act were not there in the election petition. Under Section 83(1)(a) of the Act, an election petition should contain a concise statement of material facts. What constitutes "material facts" would depend upon the ground on which the election of a returned candidate is challenged. Several grounds are enumerated in Section 100(1) of the Act and pleading of material facts co-relatable to the grounds set out in Section 100(1), forms the bedrock of an election petition.
15. In the election petition, as it was originally filed, there was no averment of material facts traceable to the ingredients incorporated in clauses (a) and (b) of Section 101. This is why the first Respondent herein made the first strike by moving an application in IA No. 4 of 2019 for striking out Prayer (c). Actually, IA No. 4 of 2019 was filed by the first Respondent herein on 11- 10-2019, pointing out that there are no necessary pleadings with reference to Section 101.
16. It is only after two months of the first Respondent filing IA No. 4 of 2019 that the petitioner herein moved an application in IA No. 1 of 2020 for amendment of the pleadings by incorporating one paragraph, after the existing Para 30 of the election petition. To be precise IA No. 1 of 2020 was filed on 11-2-2020 seeking to incorporate one paragraph as Para 30(a) in the original election petition. This proposed additional paragraph comprised of two parts, one relating to the alleged corrupt practices and the other relating to the requirements of Section 101(b) of the Act. By the order impugned [Muniraju Gowda v. Munirathna, 2020 SCC OnLine Kar 1633] herein, the High Court allowed the amendment to the extent of first part of Para 30(a), but rejected the amendment as regards the second part which relates to the ingredients of Section 101(b). As rightly pointed out by the High Court, the election petitioner cannot be allowed to suddenly wake up to the reality of lack of pleading of material facts, relating to his rights in terms of Section 101 after more than 18 months of the filing of the election petition. The same is also barred by limitation. Therefore, the High Court did the right thing in disallowing the second part of the proposed Para 30(a) and in striking off Prayer (c).
17. In any case, the second part of Para 30(a) sought to be incorporated by way of amendment, does not satisfy the requirement of pleading of material facts, necessary for the High Court to form an opinion in terms of clause (a) or (b) of Section 101.
18. Once it is found that neither the original election petition nor the amended election petition contains any pleading of material facts which would enable the High Court to form an opinion in terms of Section 101, there was no alternative for the High Court but to strike off Prayer (c).
19. There is one more reason why the petitioner cannot succeed. In the elections in question, there were 14 candidates in the fray, including the petitioner herein and the first Respondent. In Vishwanatha Reddy v. Konappa Rudrappa Nadgouda [Vishwanatha Reddy v. Konappa Rudrappa Nadgouda, AIR 1969 SC 604] , the Constitution Bench of this Court treated the votes polled in favour of the returned candidate as thrown away votes, on the ground that he was disqualified from contesting and that the election petitioner was entitled to be declared elected, in view of the fact that there was no other contesting candidate. But the Constitution Bench cautioned that the rule for the exclusion of the votes secured by corrupt practices by the returned candidate in the computation of the total votes and the consequential declaration of the candidate who secured the next highest number of votes as duly elected, can be applied only when there are just two candidates at an election.
20. The ratio in Vishwanatha Reddy [Vishwanatha Reddy v. Konappa Rudrappa Nadgouda, AIR 1969 SC 604] was followed in Thiru John v. Returning Officer [Thiru John v. Returning Officer, (1977) 3 SCC 540] . Though this case concerned election to the Rajya Sabha through single transferable votes, this Court observed in this case that it would be extremely difficult if not impossible, to predicate what the voting pattern would have been, if the electors knew at the time of election that one was disqualified. The Court pointed out that the question as to how many of the voters would have cast their votes in favour of other continuing candidates and in what preferential order, remained a question in the realm of speculation and unpredictability.
21. In D.K. Sharma v. Ram Sharan Yadav [D.K. Sharma v. Ram Sharan Yadav, 1993 Supp (2) SCC 117] , this Court followed the dictum in Vishwanatha Reddy [Vishwanatha Reddy v. Konappa Rudrappa Nadgouda, AIR 1969 SC 604] to the effect that where there are more than two candidates in the field, it is not possible to apply the same ratio as could be applied when there are only two candidates. This principle was also reiterated in Prakash Khandre v. Vijay Kumar Khandre [Prakash Khandre v. Vijay Kumar Khandre, (2002) 5 SCC 568] , where this Court pointed out : (Prakash Khandre case [Prakash Khandre v. Vijay Kumar Khandre, (2002) 5 SCC 568] , SCC pp. 579-80, para 24)
"24. ... in the present case, for one seat, there were five candidates and it would be impossible to predict or guess in whose favour the voters would have voted if they were aware that the elected candidate was disqualified to contest election or if he was not permitted to contest the election by rejecting his nomination paper on the ground of disqualification to contest the election and what would have been the voting pattern."
22. Therefore, apart from the fact that in the election petition, there were no pleadings of material facts co- relatable to the ingredients of clause (a) or (b) of Section 101 of the Act, to sustain Prayer (c), even legally the High Court could not have granted Prayer (c) in view of the fact that there were 14 candidates in the fray.
10.9 Thus, relying upon the aforesaid line of precedents learned Senior Counsel for the Respondent No.1 emphatically submitted 140 that in the absence of any pleading and proof, the relief of declaring petitioner having been elected cannot be granted.
Conclusion:
10.10 The settled position of law consistently followed and affirmed in all the aforesaid judgments by the Apex Court is the law laid down in the case of Vishwanatha Reddy (supra) where the declaration of candidates securing next highest valid votes to be elected is permissible in the scenario when there are only two candidates. Such course of action may not be permissible in the absence of material pleading and proof of disqualified candidate securing votes by corrupt practice and in the case of there being more than two candidate for one seat.
10.11 The reliance placed on by the learned Senior counsel for the petitioner, judgment of the Hon'ble Apex Court in the case of Syeda Noor Fatima (supra) is of no avail inasmuch as in very same judgment at paragraph No.22 the Hon'ble Apex Court as held as under:
22. It is not to be lost sight of that MFA No. 201854/2022 was nothing more than a proxy petition filed by R 1 to aid R 2. The High Court ought to have dismissed MFA No. 201854/2022 in limine. In this view, apropos the instant case, we do not propose to examine as to if and when the 'may' from Vishwanatha Reddy (supra), could operate when the returned candidate is declared disqualified in an election with more than two candidates. Ex abundanti cautela, we clarify that the present judgment shall not constitute precedent. As a sequel thereto, the issue as to whether or not the Trial Court's verdict ought to be disturbed on this score, purely on the anvil of law, is expressly left open.''
(emphasis supplied)
10.12 The other aspect of the matter which emerges from the aforesaid judgments of the Hon'ble Apex Court is requirement of specific pleadings in the election petition in support of the relief sought under Section 101 of the R.P. Act, 1951. In the instant case except paragraph No.84, nothing is whispered in the entire Election Petition requiring consideration of the prayer in this regard. Paragraph No.84 of the petition reads as under:
"84. It is submitted that the information not disclosed by the Respondent No.1 detailed supra, though crucial and material, was intentionally suppressed by Respondent No.1 in Form 26-Affidavit. If these facts were made known to the voters/electors, would have definitely rejected the candidature of the Respondent No.1. In this background, it is submitted that due to suppression of aforesaid facts, the election of the Respondent No.1 has been materially affected. As such petitioner is entitled to be declared as returned candidate under Section 101 of R.P. Act.''
10.13 Admittedly apart from petitioner and the Respondent No.1 there are 13 other candidates who have contested the election to 140-Bagepalli Assembly Constituency, who are arrayed as Respondent Nos.2 to 14 herein. There is no specific material averments as to how many votes more than 19,179 have been secured by the Respondent No.1 by corrupt practice. Therefore, it is not possible to presume and form an opinion that all those votes more than 19,179 allegedly obtained by corrupt practice by respondent No.1 would have gone in favour of the petitioner.
10.14 Thus, except the above cryptic averment in the election petition, nothing is forthcoming enabling this Court to form the opinion as required under Section 101 of R.P. Act, 1951 for grant of relief of declaration to declare the petitioner to have been the elected candidate of the 16th Karnataka Legislative Assembly from 140-Bagepalli Assembly Constituency. Issue No.4 raised is answered in the negative.
11. REGARDING ADDITIONAL ISSUE No.1:
11.1 One another contention raised by the petitioner as found at para 83 of the petition is, Returning Officer to 140-Bagepalli Constituency ought not to have accepted the nomination filed by the Respondent No.1 on the allegation of non-disclosure and false information in Form 26 Affidavit Sl.Nos. 4, 7 and 8.
11.2 In response, the Respondent No.1 has contended that the Returning Officer has rightly accepted the nomination papers of the Respondent No.1 after scrutiny and after ascertaining that the Respondent No.1 has furnished all details as required under law.
11.3 The primary ground on which the petitioner seeking consideration of this contention of improper acceptance of nomination filed by Respondent No. 1 by the Returning Officer is that the non-disclosure and false information in Form 26 Affidavit by the Respondent No.1 has interfered with the free exercise of electoral right and thereby Respondent No. 1 has committed corrupt practice as contemplated under sub-Section (2) of Section 123 of the R.P. Act, 1951.
11.4 It is necessary at this juncture to refer to Section 36 of the R.P. Act, 1951 providing for scrutiny of nominations which reads as under:
"36. Scrutiny of nominations.-(1) On the date fixed for the scrutiny of nominations under section 30, the candidates, their election agents, one proposer [***] of each candidate, and one other person duly authorised in writing by each candidate, but no other person, may attend at such time and place as the returning officer may appoint; and the returning officer shall give them all reasonable facilities for examining the nomination papers of all candidates which have been delivered within the time and in the manner laid down in section 33.
(2) The returning officer shall then examine the nomination papers and shall decide all objections which may be made to any nomination and may, either on such objection or on his own motion, after such summary inquiry, if any, as he thinks necessary, [reject] any nomination on any of the following grounds:-
[(a) [that on the date fixed for the scrutiny of nominations the candidate] either is not qualified or is disqualified for being chosen to fill the seat under any of the following provisions that may be applicable, namely:-Articles 84, 102, 173 and 191, 8[***].
[Part II of this Act and sections 4 and 14 of the Government of Union Territories Act, 1963 (20 of 1963)] 10[***]; or
(b) that there has been a failure to comply with any of the provisions of section 33 or section 34; or
(c) that the signature of the candidate or the proposer on the nomination paper is not genuine.]
(3) Nothing contained in [clause (b) or clause (c)] of sub- section (2) shall be deemed to authorise the [rejection] of the nomination of any candidate on the ground of any irregularity in respect of a nomination paper, if the candidate has been duly nominated by means of another nomination paper in respect of which no irregularity has been committed.
(4) The returning officer shall not reject any nomination paper on the ground of any [***] defect which is not of a substantial character.
(5) The returning officer shall hold the scrutiny on the date appointed in this behalf under clause (b) of section 30 and shall not allow any adjournment of the proceedings except when such proceedings are interrupted or obstructed by riot or open violence or by causes beyond his control:
Provided that in case [an objection is raised by the returning officer or is made by any other person] the candidate concerned may be allowed time to rebut it not later than the next day but one following the date fixed for scrutiny, and the returning officer shall record his decision on the date to which the proceedings have been adjourned.
(6) The returning officer shall endorse on each nomination paper his decision accepting or rejecting the same and, if the nomination paper is rejected, shall record in writing a brief statement of his reasons for such rejection.
[(7) For the purposes of this section, a certified copy of an entry in the electoral roll for the time being in force of a constituency shall be conclusive evidence of the fact that the person referred to in that entry is an elector for that constituency, unless it is proved that he is subject to a disqualification mentioned in section 16 of the Representation of the People Act, 1950 (43 of 1950).
(8) Immediately after all the nomination papers have been scrutinised and decisions accepting or rejecting the same have been recorded, the returning officer shall prepare a list of validly nominated candidates, that is to say, candidates whose nominations have been found valid, and affix it to his notice board.]"
11.5 The Handbook for Returning Officer issued by the Election Commission of India, wherein at paragraph 5.11 under the heading Preliminary Examination of Nomination Papers' reads as under;
5.11 PRELIMINARY EXAMINATION OF NOMINATION PAPERS
5.11.1 As each nomination paper is filed, Returning Officer or the Specified Assistant Returning Officer, as the case may be, is required by law to examine it then and there from the technical standpoint as required under Section 33 (4) of the Act of 1951. But Returning Officer is not required to hold any formal scrutiny of any nomination papers at this stage. This preliminary examination is restricted to entries relating to the name and electoral roll details relating to the candidate and the proposer(s) as given in the nomination paper (s) and those as entered in the electoral roll. The following aspects may be examined at this stage:
1) If the candidate is an elector in Returning Officer's constituency, he should compare the entries in the nomination paper with the entries in the electoral roll relating to the serial number and name of the candidate and his proposer/s.
ii) If he comes from another constituency, Returning Officer or the Specified Assistant Returning Officer should compare the entries in the nomination paper with the entry relating to the candidate's name in the electoral roll of the constituency or the relevant part thereof or certified copy of such entry filed by him. The candidate is required by law to produce before Returning Officer or the Specified Assistant Returning Officer such electoral roll or the relevant part thereof or a certified copy of relevant entries thereof [Section 33 (5)].
iii) Make sure that the electoral roll with which Returning Officer or the Specified Assistant Returning Officer makes such comparison is the one currently in force for the constituency in either case.
iv) Check whether the affidavit in revised Form 26 is duly filled up and attached along with the nomination paper. If not attached, Returning Officer or the Specified Assistant Returning Officer should bring it to his notice this requirement through a notice by way of the check list.
v) Check whether all columns of the affidavit are filled up, as incomplete affidavits are liable to be rejected leading to rejection of nomination paper. In case any of the columns are left blank by the candidate, Returning Officer or the Specified Assistant Returning Officer will mention it in the checklist and hand it over to the candidate against proper receipt. In such cases the candidate will have opportunity to file a fresh affidavit complete in all respects by the time fixed for commencement of scrutiny.
11.6 Perusal of the aforesaid provisions of Section 36 of R.P. Act, 1951 and of the Handbook though indicate scope for candidates, their election agents, one proposer, one other person duly authorized in writing to examine nomination papers and raise objections, Returning Officer is required by law to examine then and there from the technical standpoint as required under Section 33(4) of the R.P. Act, 1951. However, he is not required to hold any formal scrutiny of any nomination papers at that stage. More particularly with regard to the requirement of disclosure/non disclosure/false declaration pertaining to informations as envisaged under affidavit provided as per Rule 4A of the Conduct of Election Rules, 1961.
11.7 Clause 5 of the said paragraph further indicates that all that the Returning Officer is required to examine is whether all columns of the affidavits are filled up, as incomplete affidavits are liable to be rejected leading to rejection of nomination papers. This aspect of the matter has also been considered by the Apex Court in the Ajmera Shyam's case. Wherein at paragraphs 9.3.2 to 9.10.2 the Apex Court has held as under;
"9.3.2 Regarding the second ground related to corrupt practice as mentioned under Section 100(1)(b) of the Act, the questioned acts will clearly be those committed by the candidate during the election process. This second ground pertains specifically to the acts committed by the returned candidate or on behalf of the returned candidate and is not connected to the candidate's attributes or qualifications. It is also a ground that already existed in the statute as enacted by Parliament before the judicial intervention as mentioned above.
Such acts are censured to ensure the integrity of the election process, to prevent voters from being misled or unduly influenced, and are essential for the proper conduct of elections, and there can be no leniency when addressing the issue of corrupt practices.
9.3.3 As regards the other grounds concerning improper acceptance or rejection of nominations, or the non- compliance with the provisions of the Constitution, or the 148 Act, or rules, or orders made under the Act, it is observed that these issues are mainly technical and involve some element of subjectivity, since no nomination paper can be rejected for a defect that is not of a substantial character as provided under Section 36 (4) of the Act.
9.4 In light of the foregoing legal position, it is clear that disclosure concerning criminal antecedents is linked to the existing provisions under Section 8 and 9 of the Act, which specify that a candidate would be disqualified if convicted of any offences listed under Section 8 or dismissed for corruption or disloyalty under Section 9 of the Act.
9.5 However, regarding voidance of the election of the returned candidates due to non-disclosure of assets, it is not explicitly stated in the Act. It has become part of election law through judicial intervention and it is to be mentioned as part of the Form 26 Affidavit filed during the nomination process, as discussed above.
9.6 At the same time, it has to be kept in mind that considering the evolution of law concerning disclosure of information relating to criminal antecedents and assets and the "raison d'etre" for the same, these considerations cannot be placed at the same pedestal. By its very nature, the requirement to disclose criminal antecedents has to be examined more scrupulously and dealt with more strictly as the involvement of criminals is a bane in our electoral system, which was the prime focus of judicial intervention which is reflected in the insertion of Section 33A of the Act. On the other hand, disclosure of information about assets and educational qualification were attending requirements to improve the quality of the electoral process and the elected members for which no specific statutory provision has been made in the Act, but forms part of the information required to be mentioned in the Form 26 Affidavit in terms of Rule 4A.
9.7 Certainly, there was concern also about assets when it was noticed that apart from criminal acts of the candidates, money was being misused by the candidates to influence the voters. Further, it was also observed that there is a tendency of the elected members to misuse their official positions to enrich themselves at the expense of public funds while in office. It is for these reasons that it was felt that candidates must disclose their assets when seeking re-election.
9.8 It may, however, be noted that there can be no disqualification under the law based on a candidate's wealth or financial status unlike in the case of candidates with criminal antecedents, who will stand disqualified if convicted of certain offences mentioned under Section 8 of the Act. There is no restriction on contesting an election due to having immense wealth or being impoverished in a democracy. Ultimately, the people elect their representative regardless of the candidate's financial condition, judging instead primarily on whether the candidate can genuinely represent their interest.
9.9 This aspect has been succinctly articulated by P. Venkatarama Reddi, J in PUCL (supra) in paragraphs no. 119 and 120 of the judgment as quoted earlier, which in essence conveys the idea that the purpose of disclosure of assets and liabilities of the candidate is not to associate with the prospect or eligibility of his candidature or his capacity to spend money in the electoral process, but primarily to evaluate at a subsequent point in time after the election, whether there has been disproportionate increase in wealth by misusing official position and by self-aggrandizement.
9.10 This issue relating to disclosure of information may be viewed from another perspective. There is a provision under the statute to probe the nomination of a candidate before the election is held and result is declared, i.e., during the scrutiny by the Returning Officer, who can reject it at the nomination stage if there has been a failure to disclose necessary information by the candidate. This exercise of examining the validity of nomination can also be undertaken by the Court after the election is over in an election petition and result is known to the voters, as in the present case.
9.10.1 This post-election judicial scrutiny about any such irregularity or deficiency in not disclosing necessary information serves as a safeguard against arbitrary actions by the Returning Officer or any injustice caused to a candidate.
9.10.2 Nevertheless, there is a qualitative difference between these two stages in examining the issue of non- disclosure of information. At the time the Returning Officer scrutinizes the nomination papers of the candidates, the voters are yet to express their mind through the ballot box. However, once the election is concluded and the voters have delivered their verdict and the same has been made public, a new dimension is introduced -- that is, the people's mandate, which cannot be overlooked by the court when examining the legality of the acceptance of the nomination."
11.8 The allegations of non-disclosure/false declaration etc., as made in the present petition even as observed by the Apex 150 Court in the aforesaid paragraph of its judgment in Ajmera Shyam's case cannot be termed as technical which even as per the paragraph 5.11 of the Handbook, cannot be made amenable for a formal scrutiny at the stage of filing nomination paper. Even though the information furnished by a candidate would amount to non-disclosure or false declaration, Returning Officer may not have an opportunity of examining the authenticity of allegations at the stage of accepting nomination as could be done in an election petition after conducting a full-fledged trial. This requires, concise statement as per Section 83 of the R.P. Act, 1951, pleading and proof on corrupt practices beyond reasonable doubt, it would be impossible to imagine such a situation at the very stage of filing of the nomination. Therefore, the contention urged by the petitioner of improper acceptance of nomination under the fact situation of this matter cannot be countenanced.
Additional issue is answered accordingly.
12. For the aforesaid analysis and reasons following:
ORDER
(i) Petition is partly allowed.
(ii) Election of Respondent No.1 to the 16th Karnataka Legislative Assembly from 140- Bagepalli Assembly Constituency is set aside.
(iii) Relief of Declaration sought by the petitioner to declare him as duly elected to fill the seat of 16th Karnataka Legislative Assembly from 140- Bagepalli Assembly Constituency is rejected.
(iv) Registry shall communicate this order to the Speaker of the State Legislature and shall also forward certified copy to the Election Commissioner as required under Section 103 of the R.P. Act, 1951 read with Rule 19 of Election Petitions Procedure Rules, Karnataka.
Assistance of Ms.Rao Shivani Dinesh and Ms.Sania Niyaz, Research Assistants is appreciated and placed on record.




